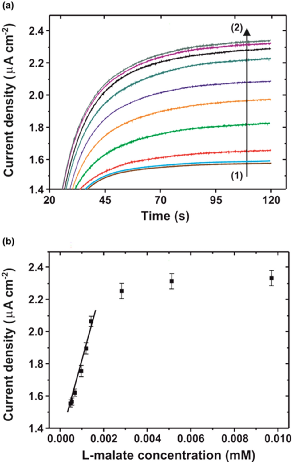
Figure 4

a Chronoamperometric curves obtained for the characterization of the l-malate biosensor in a concentration range from (1) 1 × 10–7 M to (2) 5 × 10–6 M. b Calibration curve obtained from the mean value of the current density of the last 30 s for each analysed l-malate concentration. Each point represents the mean current value of three replicates recorded consecutively with the same biosensor, with the error bars being the corresponding standard deviation.