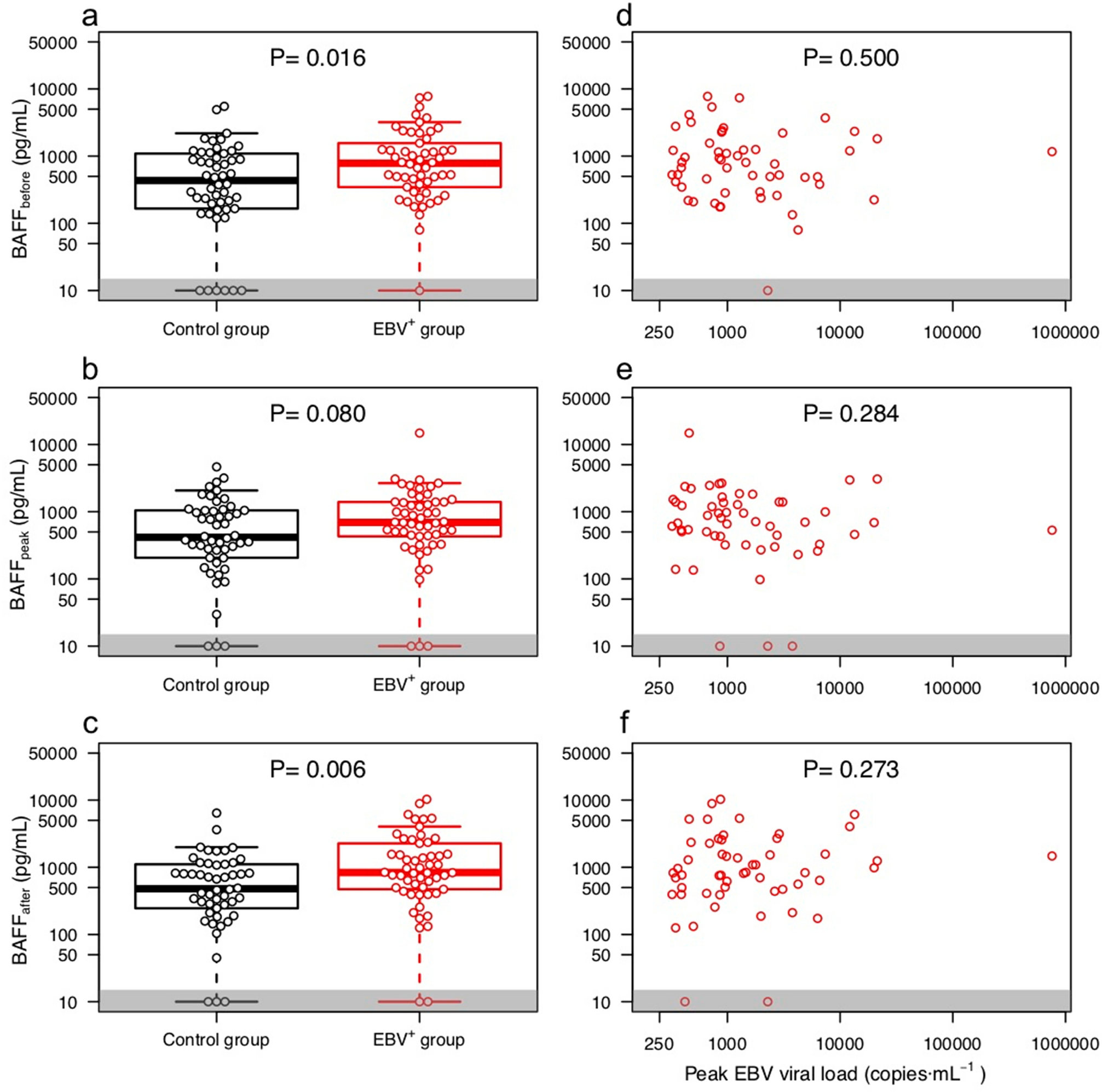
Figure 3

BAFF concentration in serum as a function of EBV reactivation. The left column shows the measured BAFF concentration for both sub-cohorts at the time points before (a), peak (b) and after (c); the right column depicts the measured BAFF concentrations in the EBV+ group at time points before (d), peak (e) and after (f) as a function of EBV viral load at peak. The results on (a–c) are also contained in Fig. 1f and are shown here enlarged for a better data view. Samples with a BAFF concentration below detection limit are depicted in the gray area; for the calculation of significance these concentrations were considered to have a value of 0. Note that both axes are in logarithmic scale.