Figure 2
From: Efficient solution of Boolean satisfiability problems with digital memcomputing

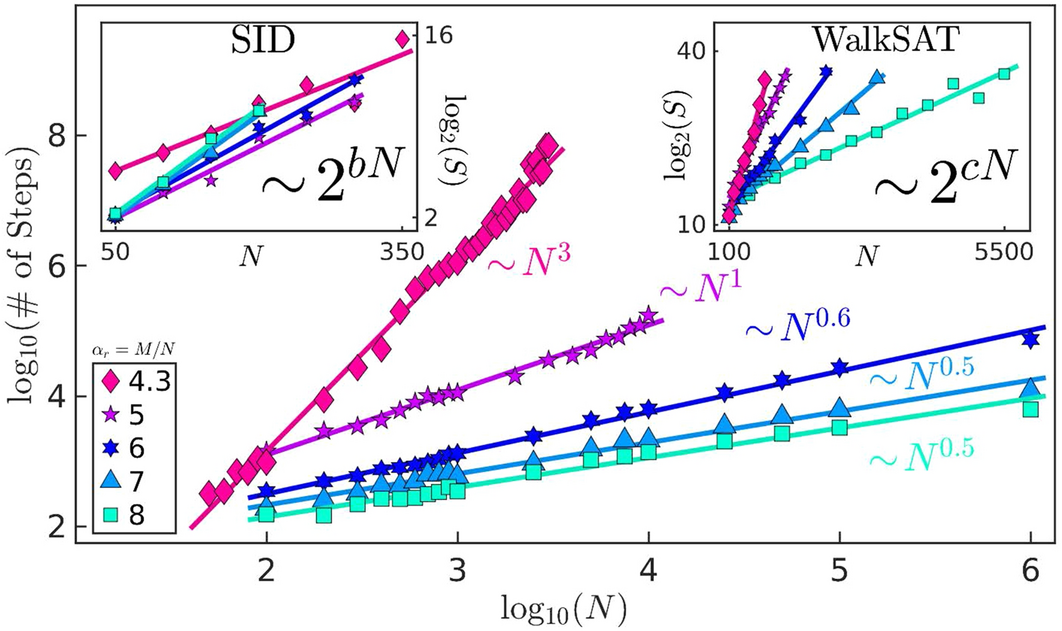
Typical case scalability of 3-SAT instances at fixed clause-to-variable ratio. In the main panel, we use our DMM algorithm to attempt to solve 100 planted-solution instances of 3-SAT per pair of \(\alpha _r\) (clause-to-variable ratio) and N (number of variables). When we achieve more than 50 instances solved, we find power-law scalability of the median number of integration steps (typical case) as the number of variables, N, grows. (In the SM, we show many data points are comprised of 90 or more instances solved within the allotted time.) The exponent values (\(\sim \!N^a\)) are \(a_{4.3}=3.0\pm 0.1\), \(a_{5}=1.00\pm 0.05\), \(a_{6}=0.63\pm 0.03\), \(a_{7}=0.48\pm 0.03\), and \(a_{8}=0.46\pm 0.04\). The insets show exponential scalability for a stochastic local-search algorithm (WalkSAT) and a survey-inspired decimation procedure (SID) on the same instances. (S is for number of steps.) Notice the scalability for SID has a trend opposite that seen in the DMM and WalkSAT. This is expected when one considers the increase in factor graph loops as \(\alpha _r\) grows. For the SID scaling of \(\alpha _r=4.3\), the \(N=350\) did not achieve a median number of solutions, and is thus a lower bound. Parameters of the scaling for SID: \(b_{4.3}=(3\pm 1)\times 10^{-2}\), \(b_{5}=(3.7\pm 0.7)\times 10^{-2}\), \(b_{6}=(4.1\pm 0.6)\times 10^{-2}\), \(b_{7}=(5\pm 1)\times 10^{-2}\), and \(b_{8}=(5\pm 1)\times 10^{-2}\); for WalkSAT: \(c_{4.3}=(3.2\pm 0.3)\times 10^{-2}\), \(c_{5}=(1.9\pm 0.2)\times 10^{-2}\), \(c_{6}=(1.2\pm 0.1)\times 10^{-2}\), \(c_{7}=(7.5\pm 0.6)\times 10^{-3}\), and \(c_{8}=(4.1\pm 0.5)\times 10^{-3}\).