Figure 3
From: Painful stimulation increases spontaneous blink rate in healthy subjects

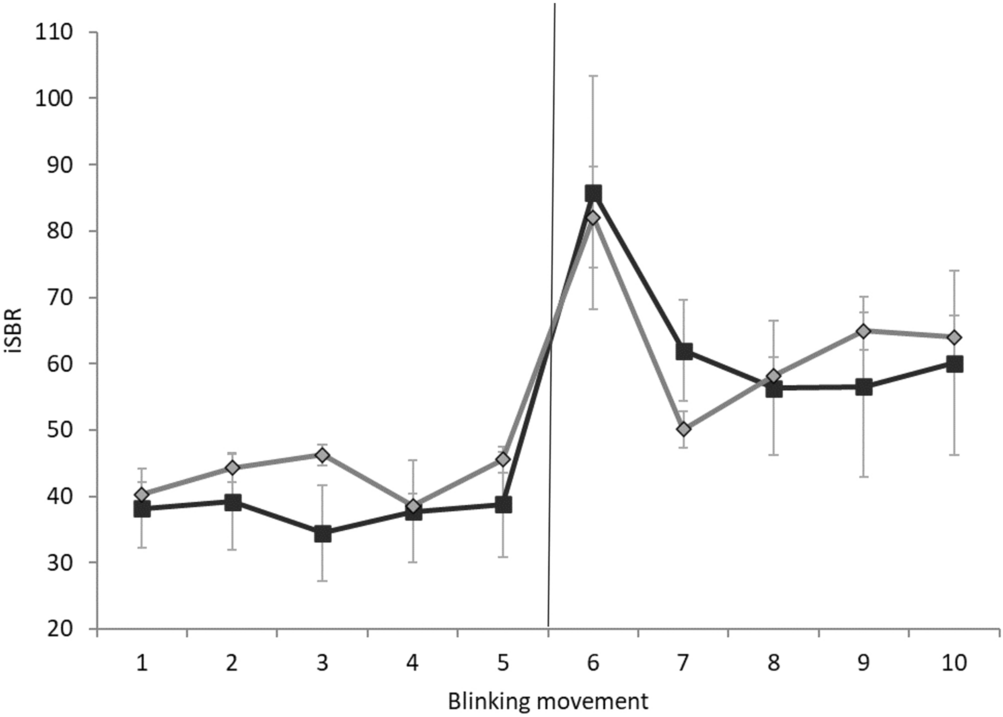
Instantaneous blinking frequency. Instantaneous blinking frequency (I-SBR) of the five blinking movements before and after the laser or the acoustic interventions in the main experiment was calculated as the reciprocal of the interval between two consecutive blinking movements. Black indicators represent the laser stimulation blocks while light grey indicators represent the acoustic blocks. Error bars denote standard errors. The vertical line indicates the time point at which the laser and acoustic stimulation were delivered. Note that with respect to the considered baseline values before stimulation (that is the 5th I-SBR) there was an increase of the I-SBR in both laser and acoustic stimulation sessions.