Figure 4
From: Painful stimulation increases spontaneous blink rate in healthy subjects

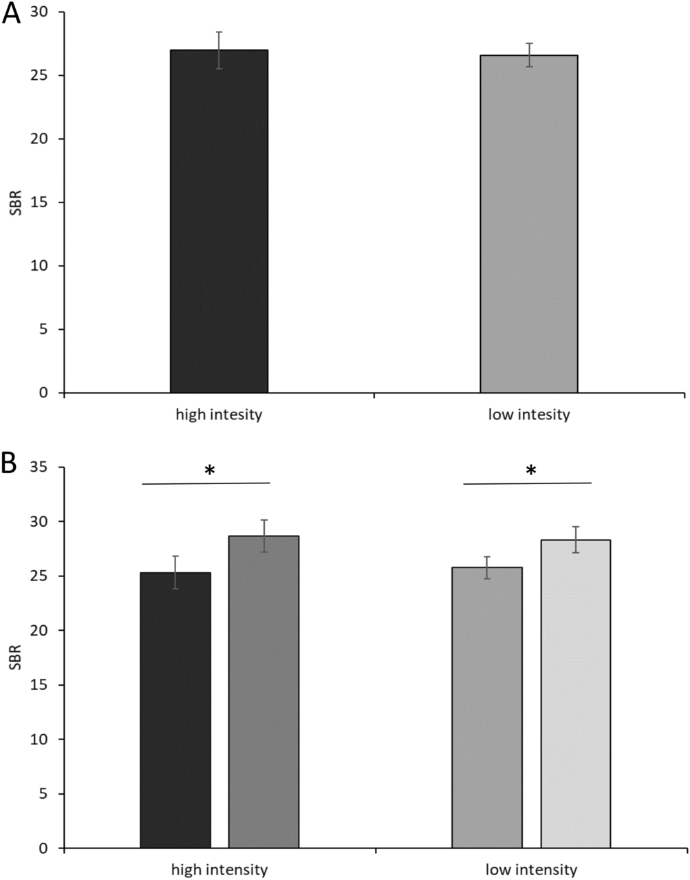
Effect of laser stimulation intensity on the spontaneous blink rate. (A) Overall spontaneous blink rate (SBR) recorded during the high-intensity and low-intensity stimulation blocks of the first control experiment. (B) SBR recorded before (dark grey) and after (light grey) the high- and low-intensity laser stimulation in the first control experiment. Error bars denote standard errors. Asterisks indicate P < 0.05 in the post-hoc comparisons.