Figure 5
From: Painful stimulation increases spontaneous blink rate in healthy subjects

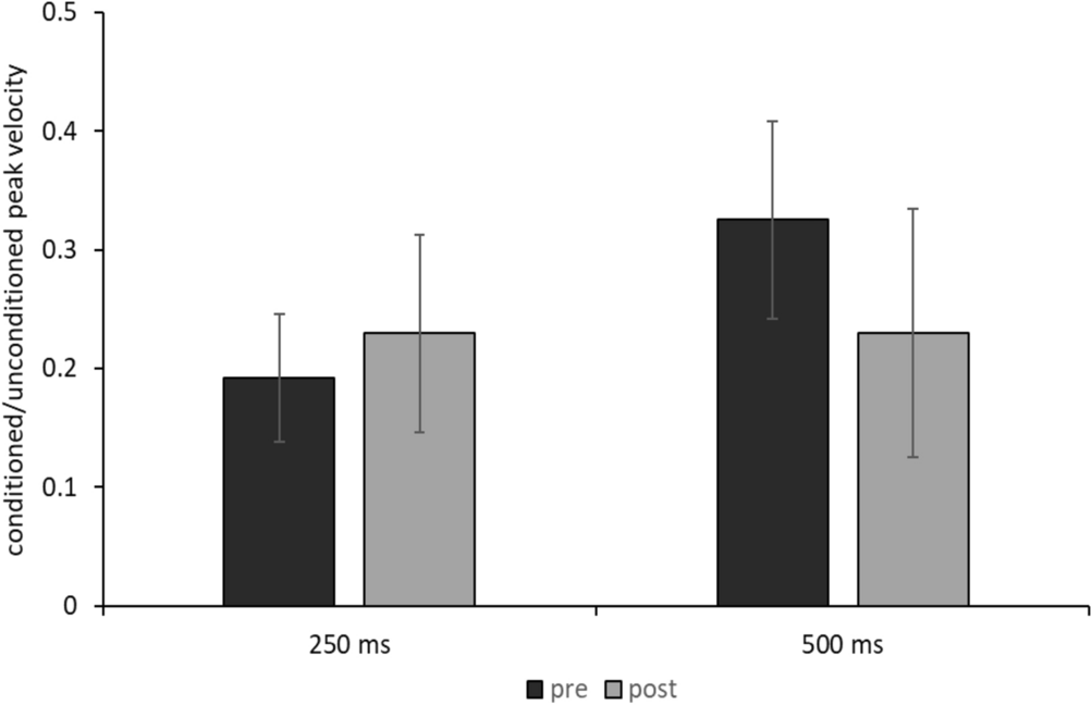
Blink reflex recovery cycle before changes due to the laser stimulation. Bars indicate the average of the ratios between the peak velocity of the closing phase of the conditioned responses and the peak velocity of the closing phase of the unconditioned responses before (pre) and after (post) 5 blocks of laser stimulation across 8 subjects, using an ISI of 250Â ms (on the left) and 500Â ms (on the right).