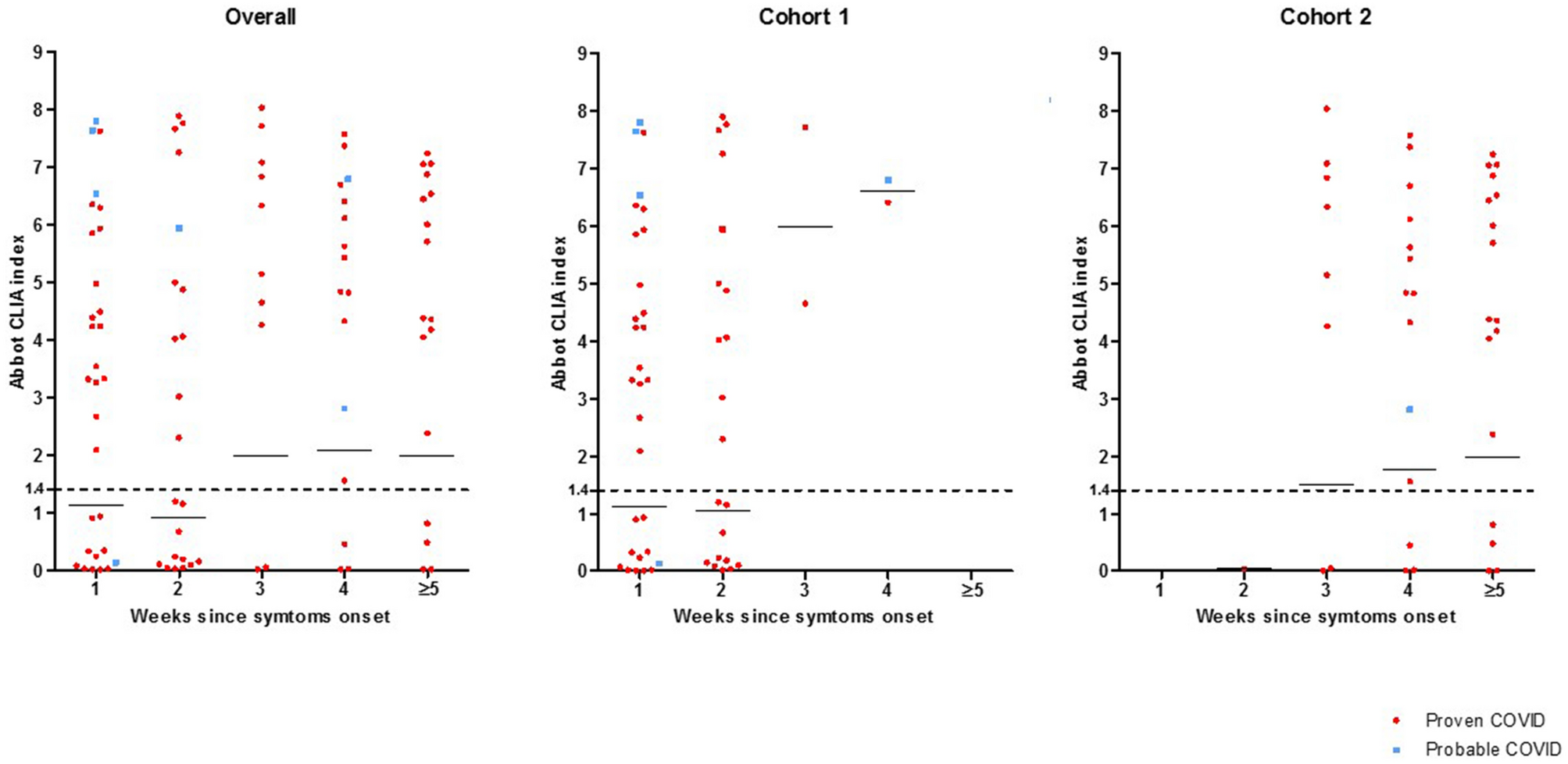
Figure 1
From: Detection of SARS-CoV-2 antibodies is insufficient for the diagnosis of active or cured COVID-19

Scatter plots of index values obtained by Abbott´s SARS-CoV-2 IgG assay (Architect analyser) versus days from the onset of symptoms of all patients (a), and patients from Cohort 1 (b) and Cohort 2 (c). Dots in red indicate proven COVID-19 cases and dots in blue indicate probable COVID-19 cases.