Figure 5
From: Tinnitus impairs segregation of competing speech in normal-hearing listeners

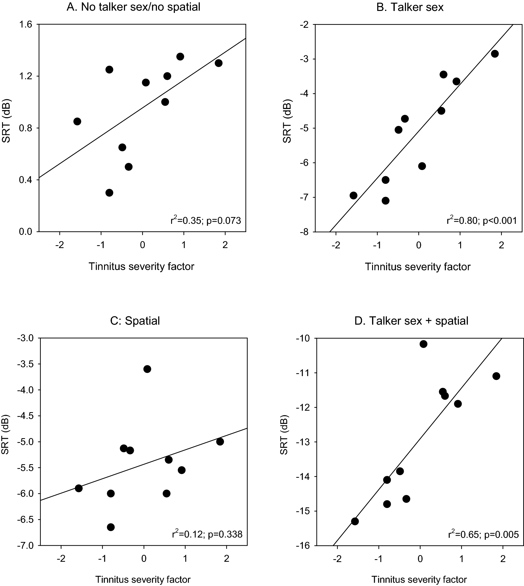
SRTs for competing speech as a function of tinnitus severity for the No talker sex/no spatial (A), Talker sex (B), Spatial (C), and Talker sex + spatial cue conditions (D). VAS and THI scores were reduced to a single “Tinnitus severity” factor using dimensionality reduction. In each panel, the diagonal line shows the linear regression fit to the data; r2 and p values are shown at the bottom right of each panel. Note that the y-axes are optimized to the SRT range for each cue condition.