Figure 11
From: Numerical analysis of photonic crystal fiber of ultra-high birefringence and high nonlinearity

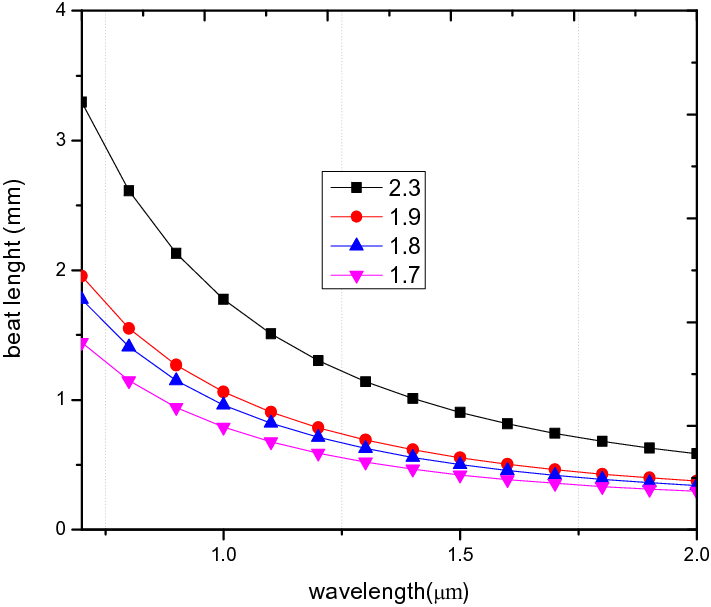
Variation of wavelength against beat length for PCF3 at ʌ = 1.7 µm, 1.8 µm, 1.9 µm, 2.3 µm, d/ʌ = 0.6.
From: Numerical analysis of photonic crystal fiber of ultra-high birefringence and high nonlinearity

Variation of wavelength against beat length for PCF3 at ʌ = 1.7 µm, 1.8 µm, 1.9 µm, 2.3 µm, d/ʌ = 0.6.