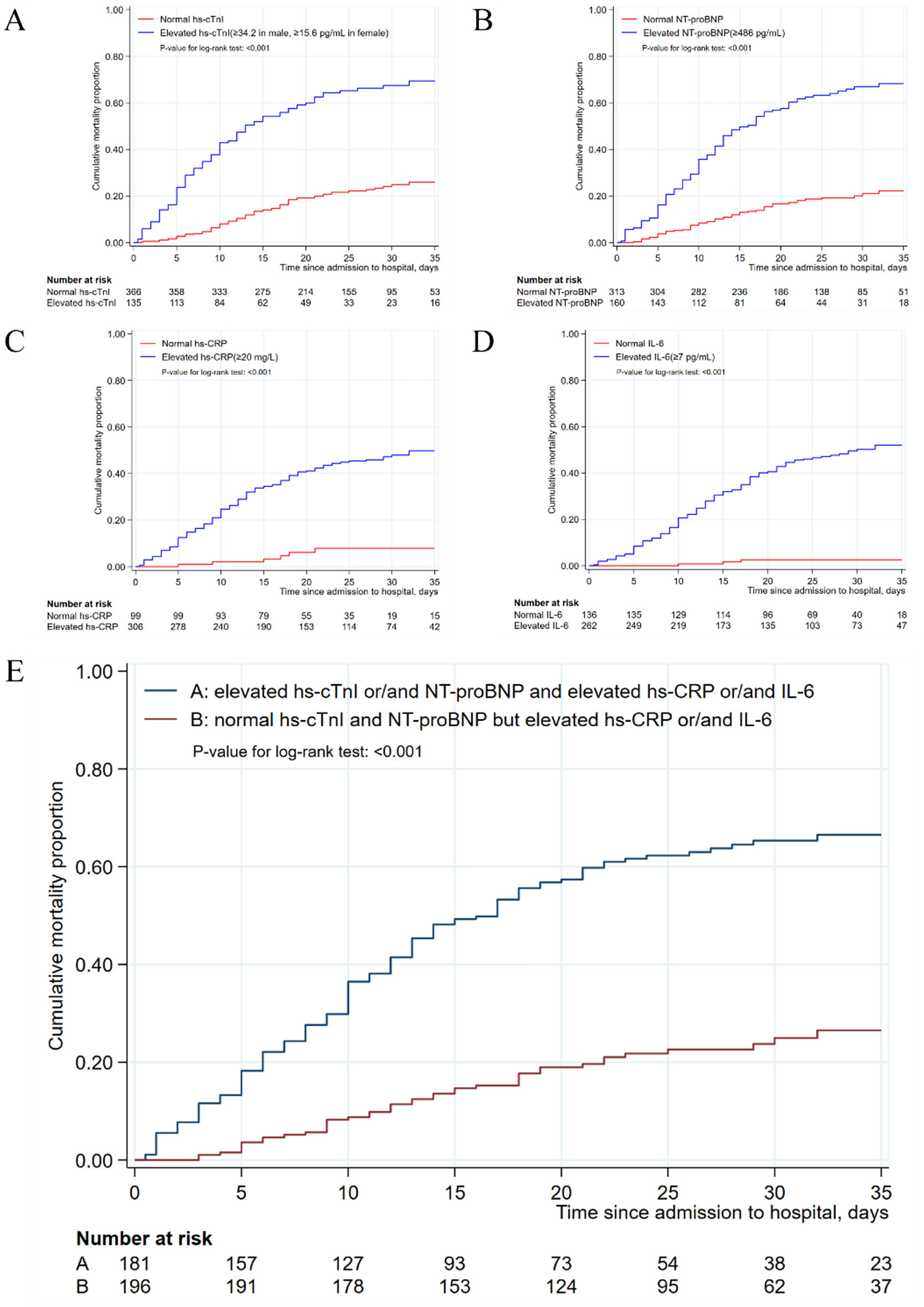
Figure 1

Cumulative mortality rates among severe patients with COVID-19 according to the values of hs-cTnI, hs-CRP, NT-proBNP and IL-6. (A) Kaplan–Meier estimates representing the probability of death in the hospital according to the value of hs-cTnI; (B) Kaplan–Meier estimates representing the probability of death in the hospital according to the value of NT-proBNP; (C) Kaplan–Meier estimates representing the probability of death in the hospital according to the value of hs-CRP; (D) Kaplan–Meier estimates representing the probability of death in the hospital according to the value of IL-6. (E) Kaplan–Meier estimates representing the comparisons of probability of death in the hospital between two groups. A: elevated hs-cTnI or/and NT-proBNP and elevated hs-CRP or/and IL-6, B: normal hs-cTnI or/and NT-proBNP but elevated hs-CRP and IL-6.