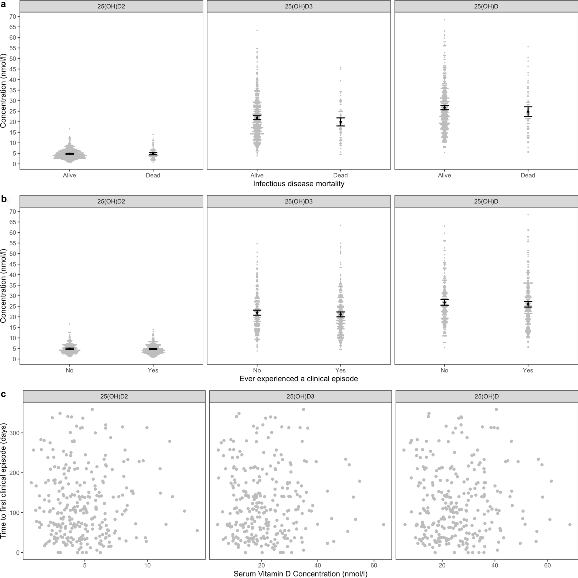
Figure 8

Serum 25(OH)D concentration and infectious disease mortality and morbidity by one year of age. Black points represent the mean with 95% confidence interval. (a) Infectious disease mortality; (b) experiencing a clinical episode by 51 weeks of age and (c) time to first clinical episode vs. serum 25(OH)D concentration.