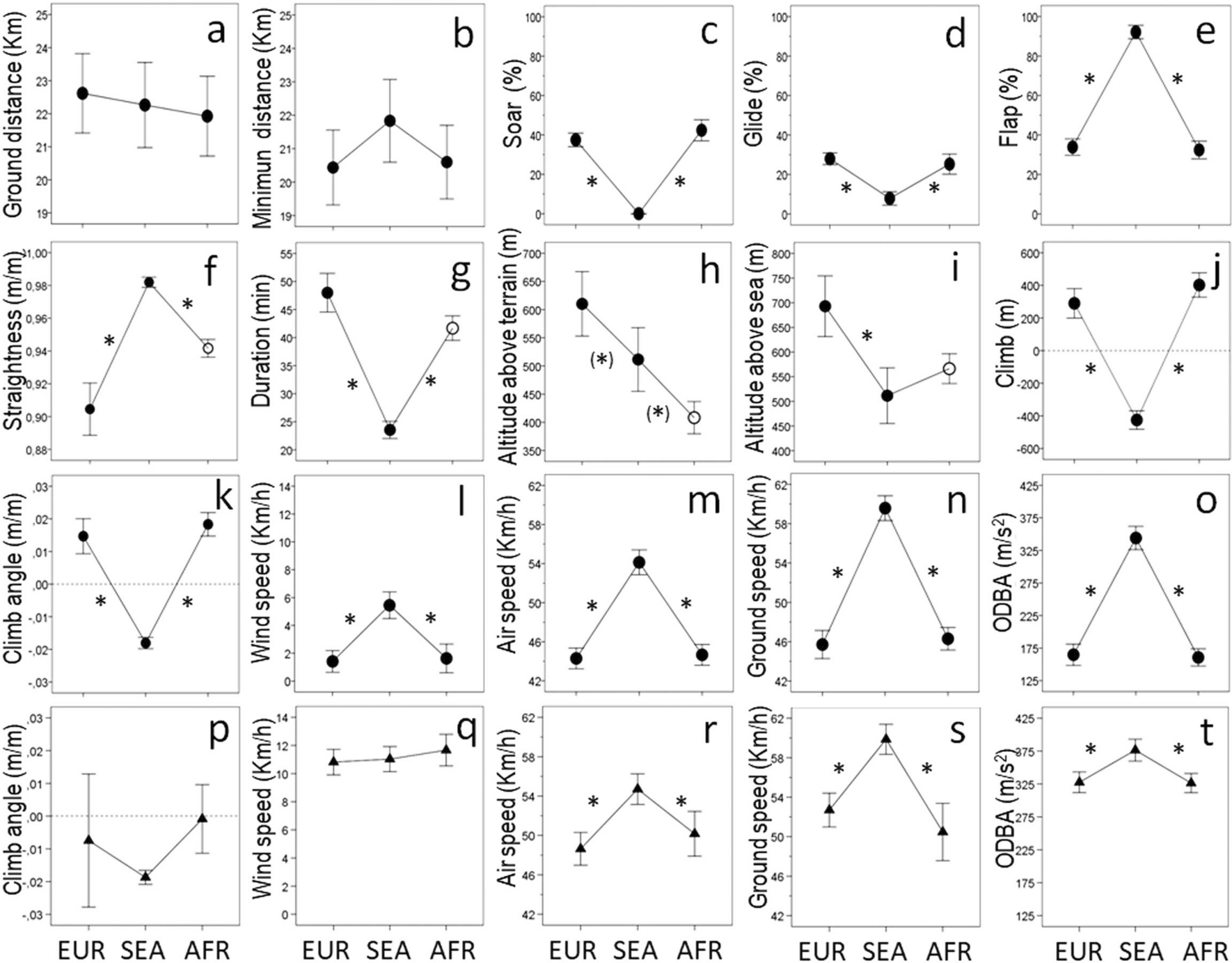
Figure 2

Sequential changes in trip and flight parameters across the overland and overwater itineraries (X-axis) comprising storks´ southbound migration through the straits of Gibraltar, namely: overland itineraries traversed pre-cross in the European shore (EUR), overwater itineraries across the sea straits of Gibraltar (SEA) and overland itineraries traversed post-cross, upon arrival at the African shore (AFR). Asterisks * indicate statistically significant differences (P < 0.05) and asterisks within brackets (*) indicate marginally significant differences (0.05 < P < 0.07) between sequential itineraries. Open circles depict statistically significant differences between AFR and EUR. Circles indicate parameters calculated using all the GPS fixes within a given itinerary, and triangles indicate parameters calculated using only GPS fixes associated to flapping flight. Error bars represent standard errors.