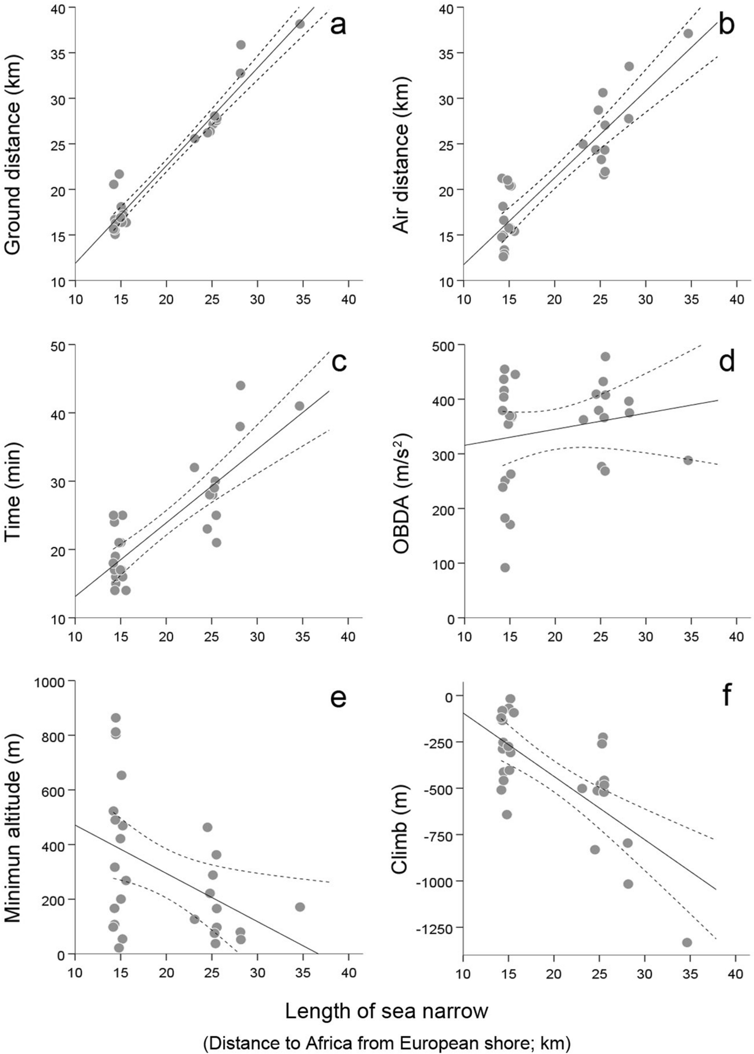
Figure 4

Effects of the length of the sea narrow at departure shore (i.e. distance between Europe and Africa at the starting point of the sea crossing) on several parameters defining flight performance oversea. Solid and dashed lines respectively represent predicted effects based on partial regression models and 95% mean confidence intervals. Dots represent recorded observations.