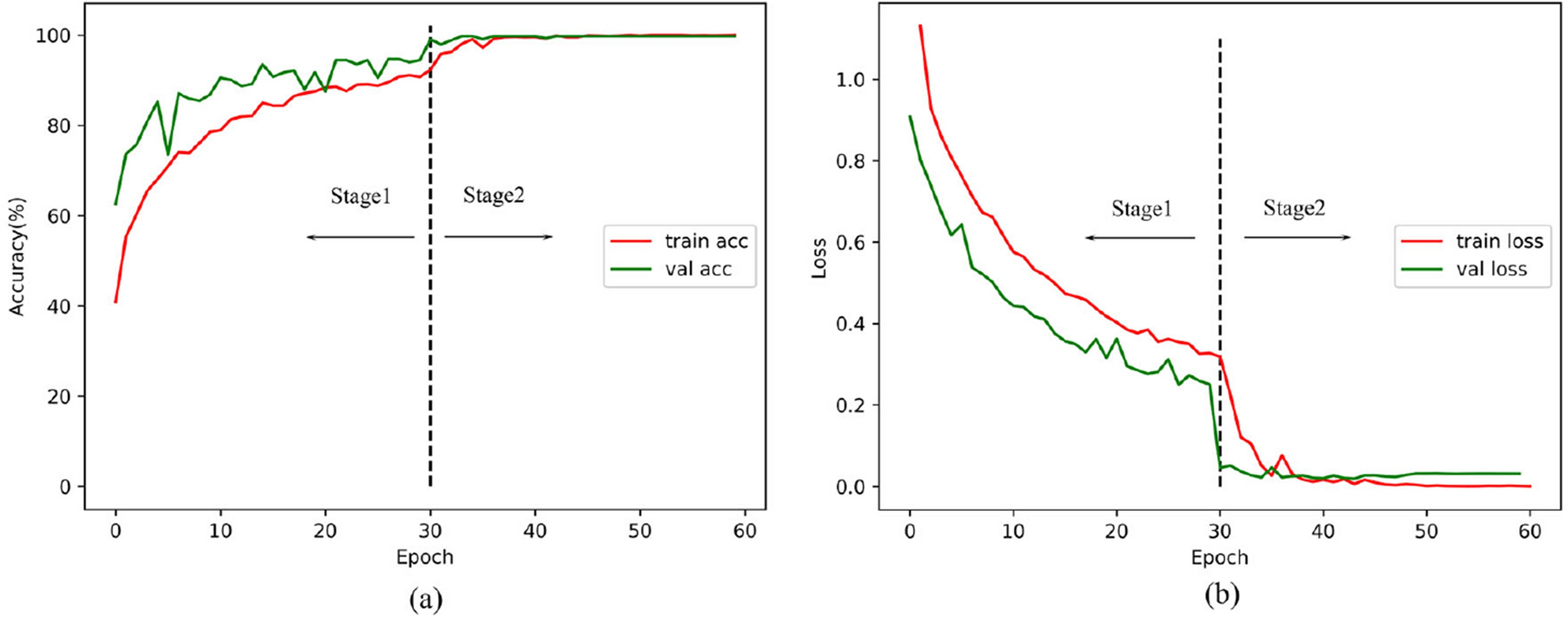
Figure 6
From: Computer-aided diagnosis of pectus excavatum using CT images and deep learning methods

The training plots of accuracy and loss over the epochs for the pretrained VGG19 model using B2 fine-tuning method: (a) Accuracy graph of VGG19 model, and (b) Loss graph of VGG19 model.