Figure 9
From: A potential energy and mutual information based link prediction approach for bipartite networks

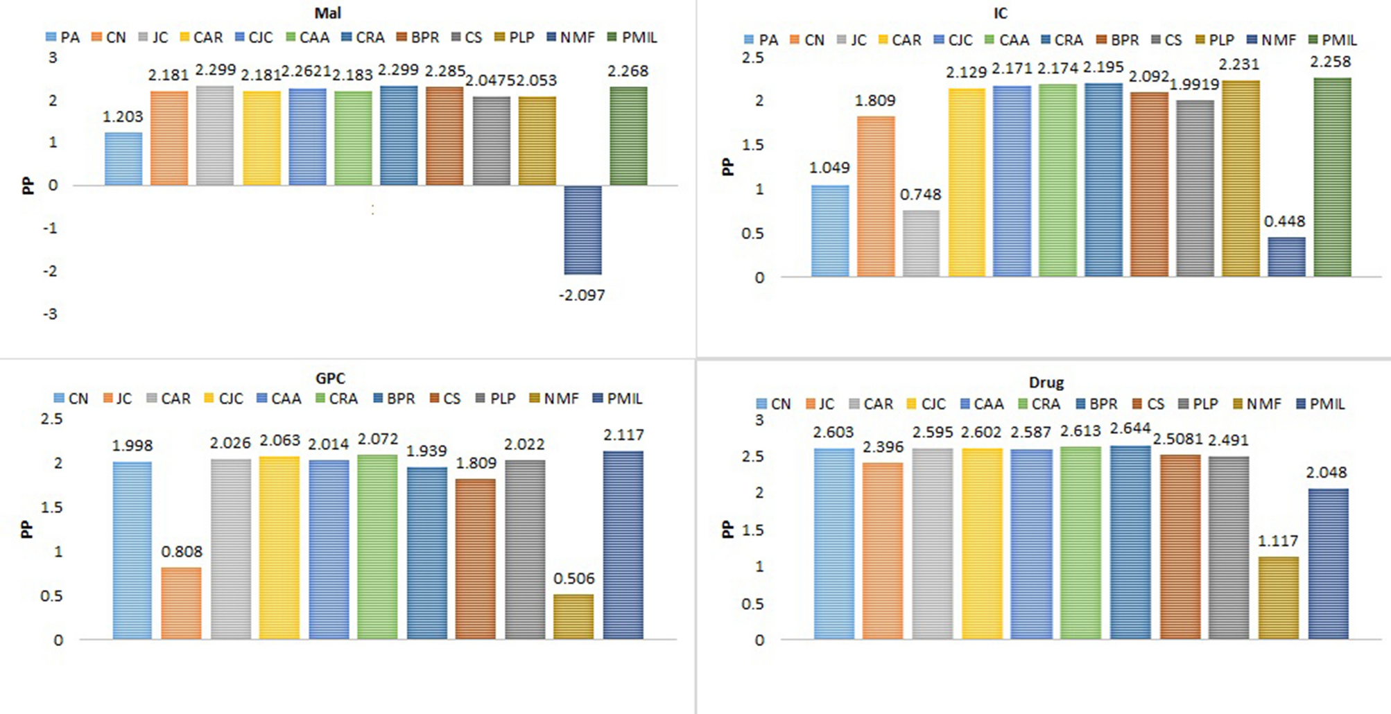
Comparison of prediction-power on the four datasets.
From: A potential energy and mutual information based link prediction approach for bipartite networks

Comparison of prediction-power on the four datasets.