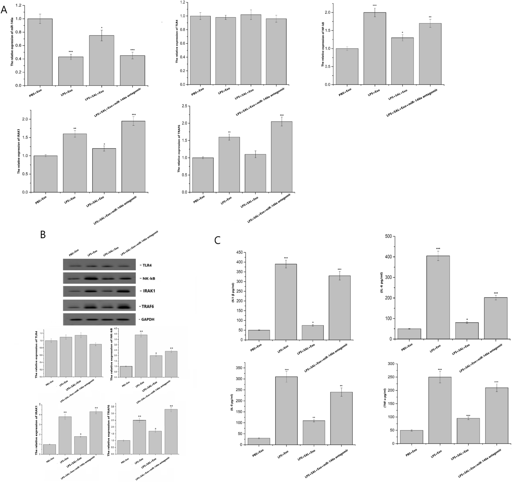
Figure 2

Effects of SAL on the expression of miR-146a and TLR4 related inflammatory factors in NR8383 cells. (A) Expression of miR-146a-TLR4 pathway was detected by RT-PCR. (B) Detection of target gene and signal pathway related gene expression by WB. (C) Detection of TNF-α, IL-6, IL-8 and IL-1 β inflammatory factors by ELISA.