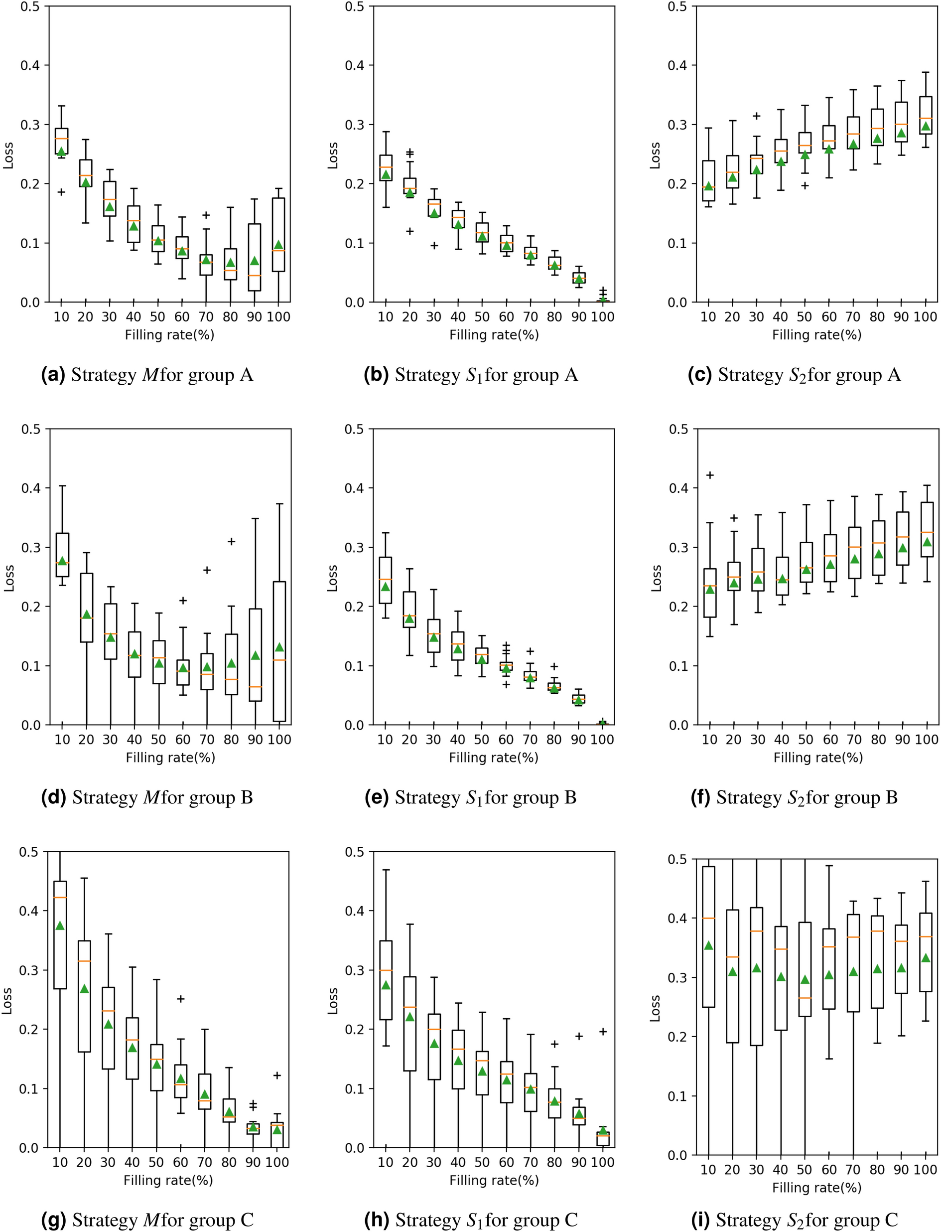
Figure 4

The relationship between the loss value (vertical) and the filling rate (horizontal) for each group (A, B, C) and strategy (M, \(S_1\), \(S_2\)) in 2018. The triangle symbol (\(\blacktriangle \)) denotes the mean. The box–bar plot shows the median, minimum, maximum and quartiles. The plus symbol (\(+\)) denotes the outlier points.