Figure 4
From: Tensile deformation behavior of twist grain boundaries in CoCrFeMnNi high entropy alloy bicrystals

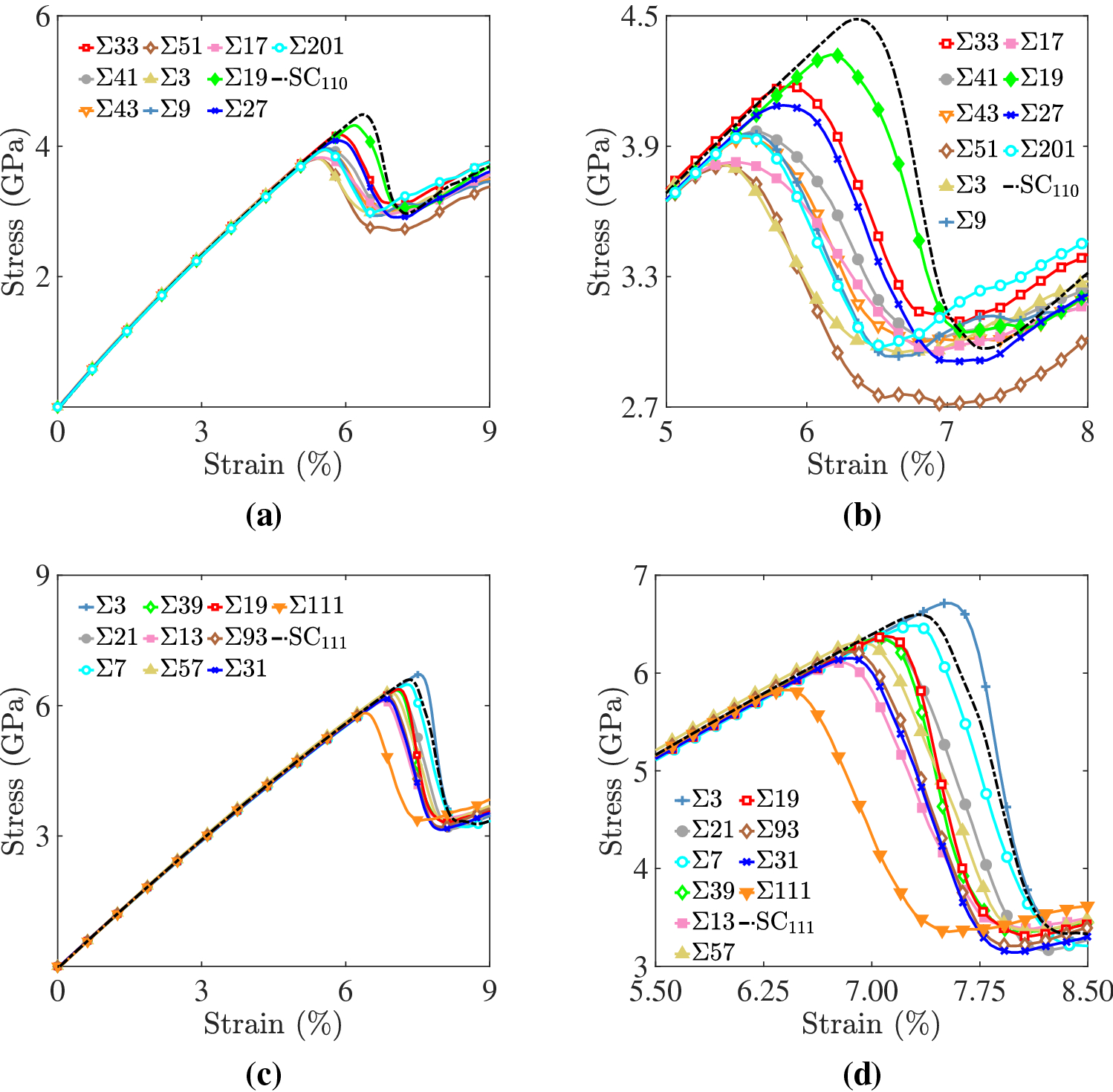
For the Cantor alloy bicrystals: (a,c) tensile stress–strain curves and (b, d) close-up views around the peak points. Curves for bicrystals with (a,b) [110] and (c,d) [111] STGBs are shown. Curves for Cantor alloy single crystals with [110] \((SC_{110})\) and [111] \((SC_{111})\) loading axis are shown for comparison.