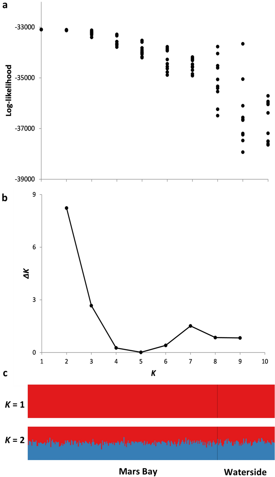
Figure 2

The likelihood of the number of populations (K) based on genetic structure using (a) the individual log-likelihood values per run (10 runs per K) for each value of K showing convergence at K = 1. (b) the most probable number of genetic clusters (K) evaluated by the Evanno et al.48 method using ΔK based on the rate of change in the log-probability of data between successive K values. (c) genetic structure plots of sooty terns genotyped using 25 microsatellite markers from the two breeding grounds at Mars Bay (n = 217) and Waterside (n = 70), on Ascension Island for K = 1 and K = 2.