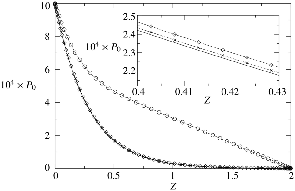
Figure 4

Pressure distribution in a rigid pipe with a permeable wall (solid line) compared to the pressure in the PVS for \({\bar{H}}=0\), \(E_{e}=0.01\) (circles and dashed-line), 0.1 (squares and dashed-line) and 1 (crosses and dashed-line). In all the cases \(M_{e}=1\), \(L=2\), \(R_1=10\) (i.e. \(B_0=-0.079557\)), \(P_{e}=P_b=0\) and \(P_a= 10^{-3}\) at \(t=50\).