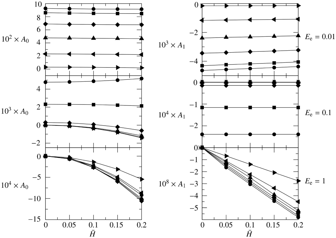
Figure 6

\(A_0\) (left panels) and \(A_1\) (right panels) coefficients for the average deformation \(\langle D_0 \rangle \) for \(R_1 = 10\), \(L = 20\), \(M_{e} \in [0.1,\ 5]\), and \(E_{e} = 0.01\) (top), \(E_{e} = 0.1\) (middle) and \(E_{e} = 1\) (bottom). Six values of \(M_{e}\) are considered: \(M_{e}=0.1\) (\(\bullet \)), 0.2 (\(\blacksquare \)), 0.5 (♦), 1 (\(\blacktriangle \)), 2 (\(\blacktriangleleft \)), 5 (\(\blacktriangleright \)).