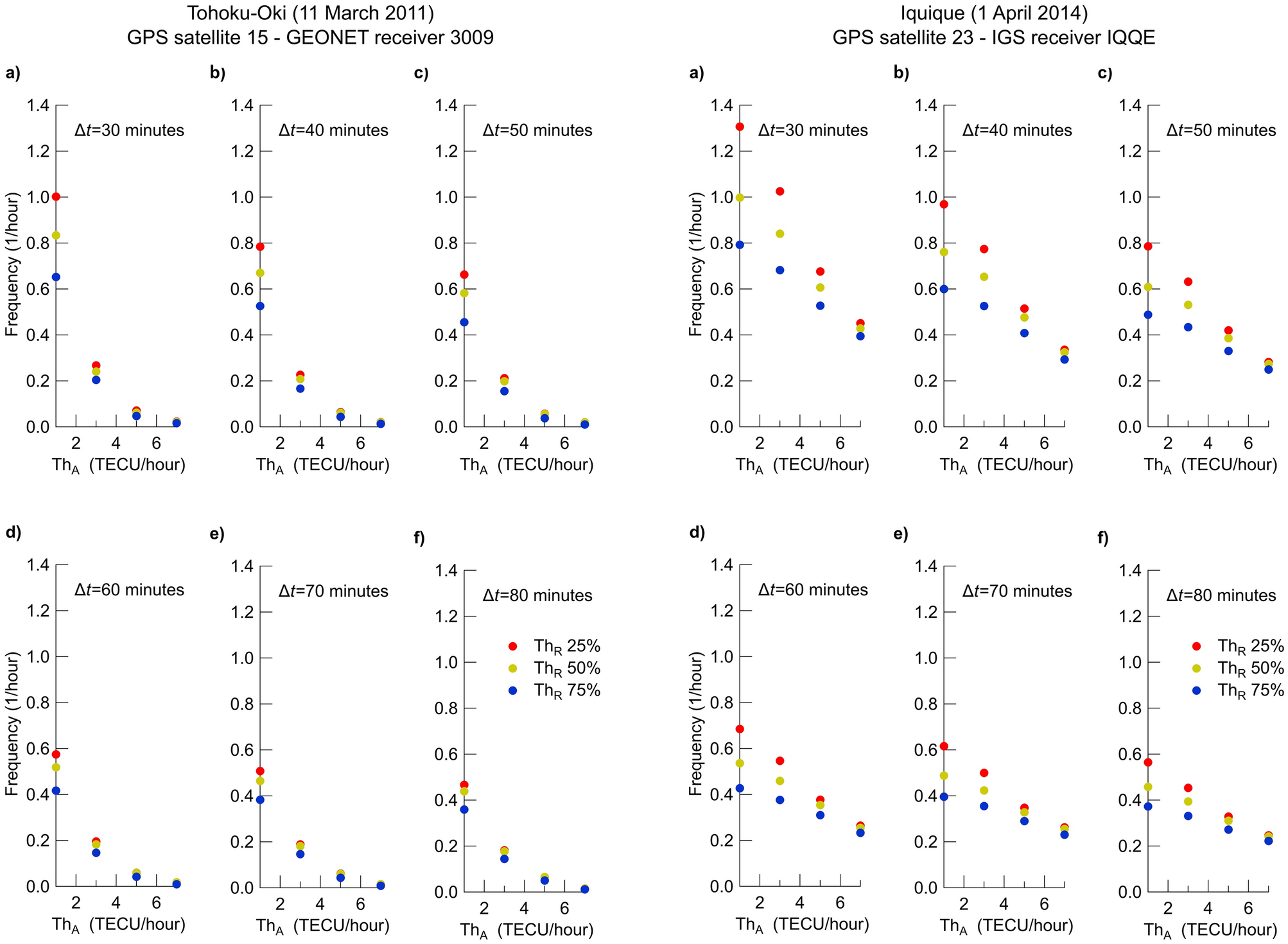
Figure 3

Positive breaks frequency detected in vTEC data versus absolute threshold (\(Th_{\mathrm{A}}\)), relative threshold (\(Th_{\mathrm{R}}\), different colors), fitting window size \(\Delta t\) (panels from a to f). Left side: 2011 (Tohoku-Oki earthquake). Right side: 2014 (Iquique earthquake).