Figure 1
From: Depletion of circulating IgM memory B cells predicts unfavourable outcome in COVID-19

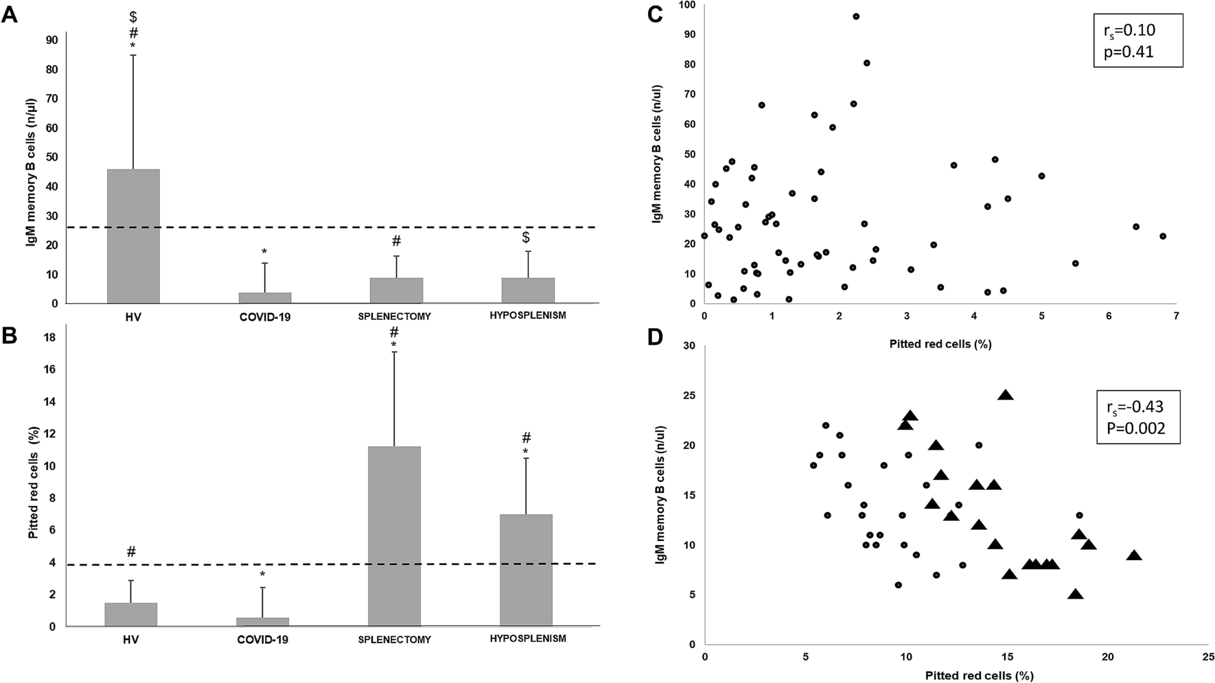
(A, B) Bar charts showing median, 75th percentile, and statistical significance of IgM memory B cells (A) and pitted red cell (PRC; B) count of patients with coronavirus disease 2019 (COVID-19) vs healthy volunteers (HV), splenectomised patients, and patients with spleen hypofunction. The dashed lines indicate the lower normal value of IgM memory B cells (26/µl) and the upper limit of normal of PRC count (4%), respectively. (A) *#$p < 0.01; (B) *#p < 0.01. (C, D) Spearman’s correlation coefficient between pitted red cell (PRC) count (%) and IgM memory B cells (n/µ) in COVID-19 patients (C) compared to hyposplenic (circles) and asplenic (triangles) patients (D). In the COVID-19 group, three patients with IgM memory B cell count greater than 100/µl were removed (outliers).