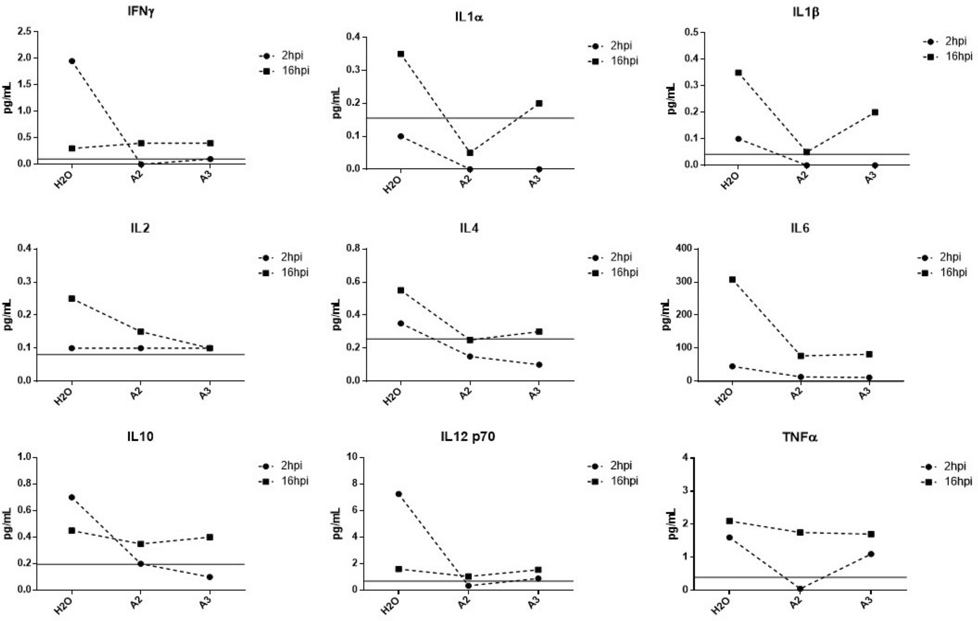
Figure 8

A2 and A3 inhibit secretion of cytokines from TC-83 infected cells. The concentration of IFNγ, IL1α, IL1β, Il2, IL4, IL6, IL10, IL12 p70, and TNFα in pg/mol in U87MG cells as a result of A2 and A3 treatment in comparison with untreated control. Limit of detection depicted by gray line; n = 1.