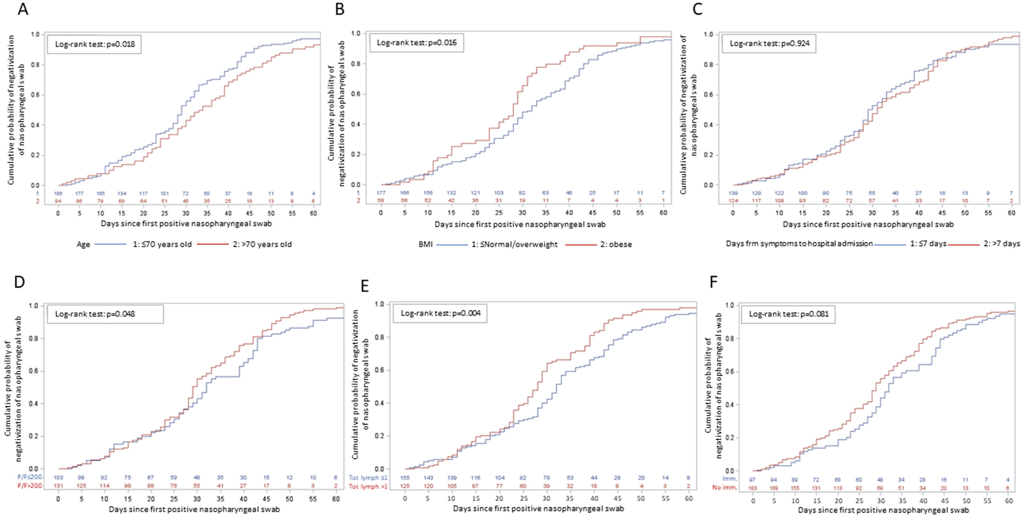
Figure 2
From: Viral clearance after early corticosteroid treatment in patients with moderate or severe covid-19

Time to negativization of nasopharyngeal swab according to: age (A); body mass index (B); days from symptoms to hospital admission (C); PaO2/FiO2 at hospital admission (D); total lymphocytes count at hospital admission (E); use of immunomodulatory drugs (F).