Figure 3
From: On the possibility of using temperature to aid in thyroid nodule investigation

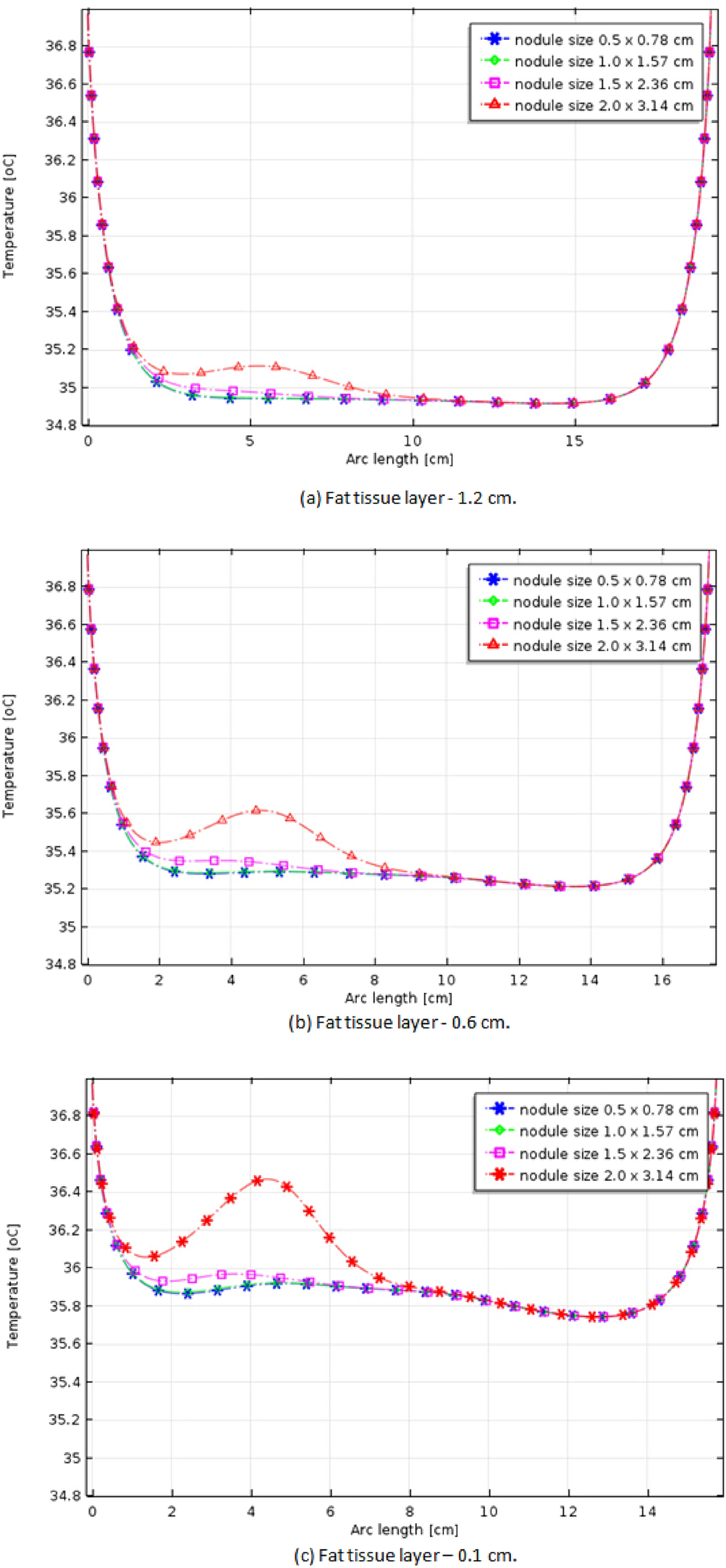
Thermal profiles on the neck surface for the four tumour sizes in Fig. 2 and the three fat tissue layers.
From: On the possibility of using temperature to aid in thyroid nodule investigation

Thermal profiles on the neck surface for the four tumour sizes in Fig. 2 and the three fat tissue layers.