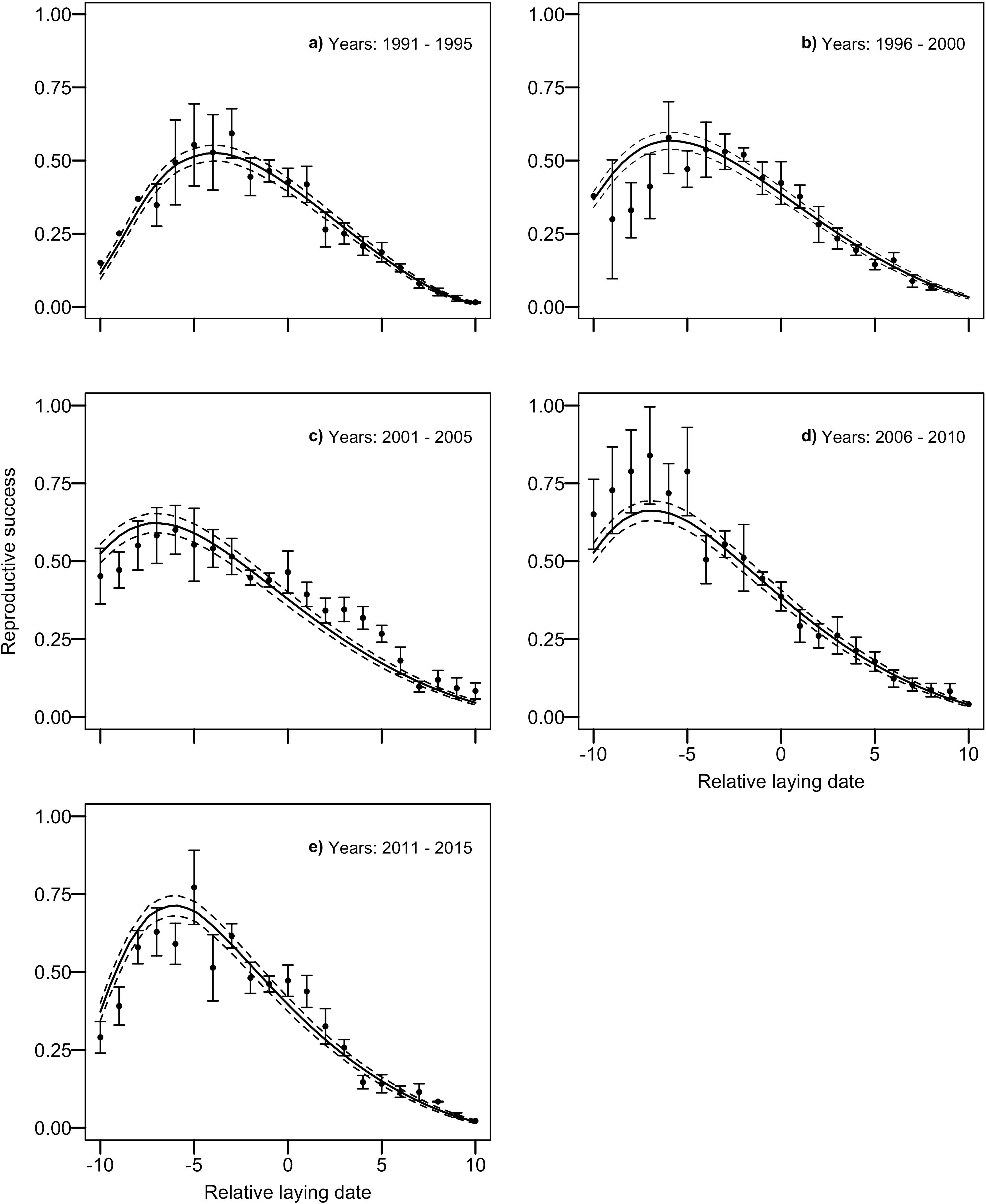
Figure 2

Observed reproductive success (black dots) in relation to relative laying date and predicted reproductive success (black line; black dotted lines represent the 95% CI) of greater snow geese derived from an analysis relating each reproductive component to laying date and study year (Table S1). Each data point is the mean over a 5-year period and the relationship is for the median year of the 5-year period. Error bars represent standard errors.