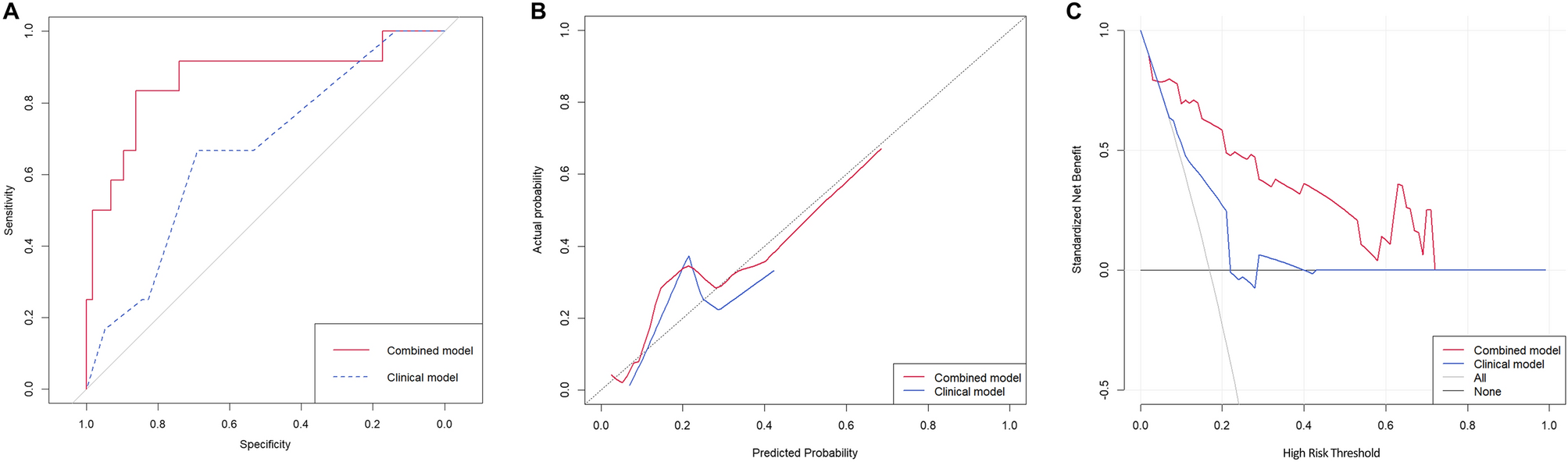
Figure 4

The ROC curve, calibration curve and decision curve of clinical and combined models for distinguishing TN vs. non-TN in the validation cohort. (A) ROC curve of the clinical model (blue dotted line) and combined model (red solid line). The AUC of the combined model was 0.868 and that of the clinical model was 0.665. The two ROC curves showed significant difference (p = 0.0449). (B) Calibration curves of clinical and combined models. The 45◦ black dotted line expresses the ideal prediction. The combined model is closer to the ideal prediction compared to the clinical model, especially at predicted probability of 0.3 or higher. (C) Decision curve of clinical and combined models. In the interval between 5 and 71% of threshold probability, the combined model adds more benefit than applying all or none of the patients, and clinical model.