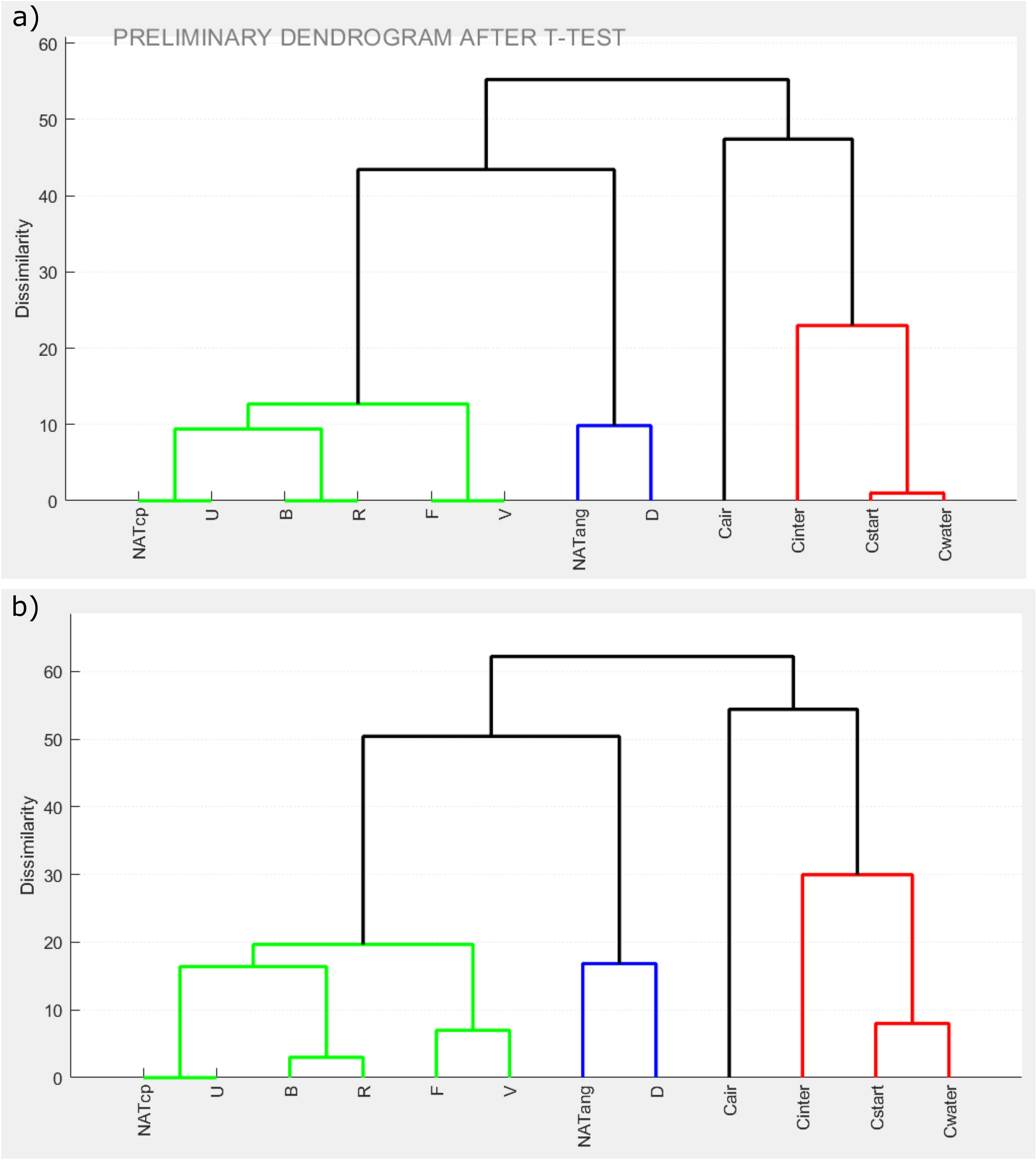
Figure 5

Screenshots showing the output for automatic DAPM via DendroScan. (a) Preliminary dendrogram considering dendrograms of all levels and t-tests. (b) Final display of DAPM results. In contrast to the upper diagram, results from e-tests are now also considered.