Figure 10
From: Nucleation and stability of skyrmions in three-dimensional chiral nanostructures

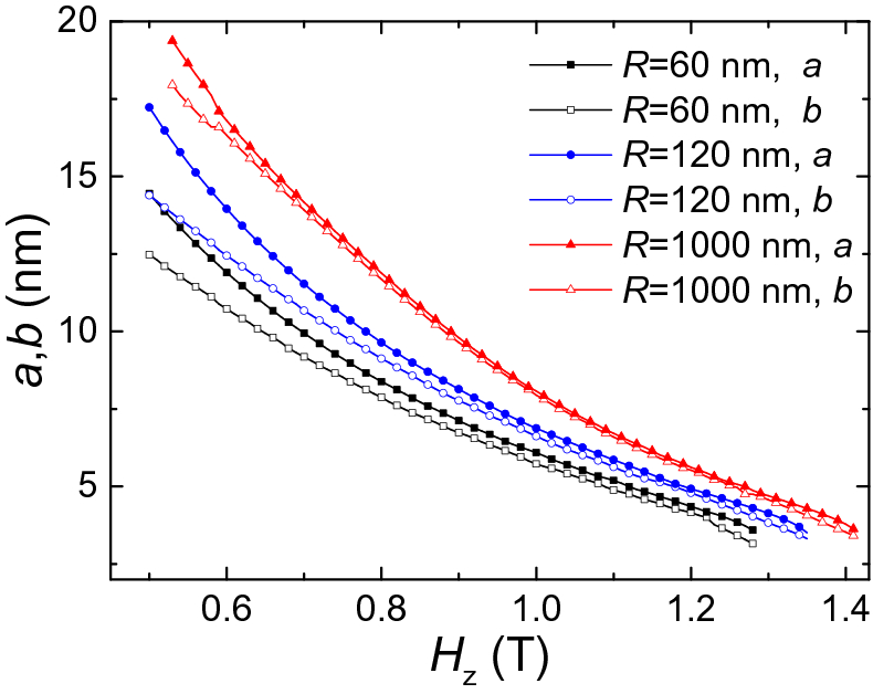
The size of skyrmion as a function of the magnetic field \(H_{z}\) in curved films with different R.
From: Nucleation and stability of skyrmions in three-dimensional chiral nanostructures

The size of skyrmion as a function of the magnetic field \(H_{z}\) in curved films with different R.