Figure 2
From: Nucleation and stability of skyrmions in three-dimensional chiral nanostructures

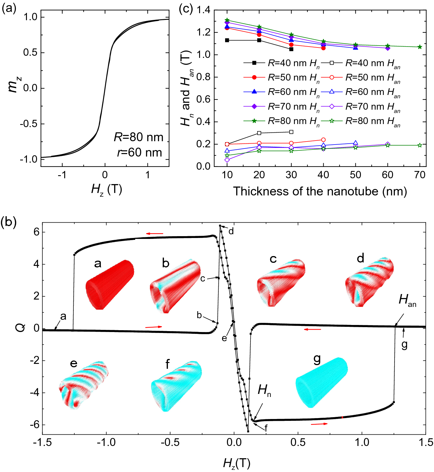
(a) The typical hysteresis loop of a nanotube (R = 80 nm, r = 60 nm) under a z-direction magnetic field. (b) The topological number as a function of Hz and the evolution of the magnetic structure during this process. (c) The size dependence of nucleation field Hn and the annihilation field Han for nanotubes with different radii.