Figure 3
From: Cisplatin induced neurotoxicity is mediated by Sarm1 and calpain activation

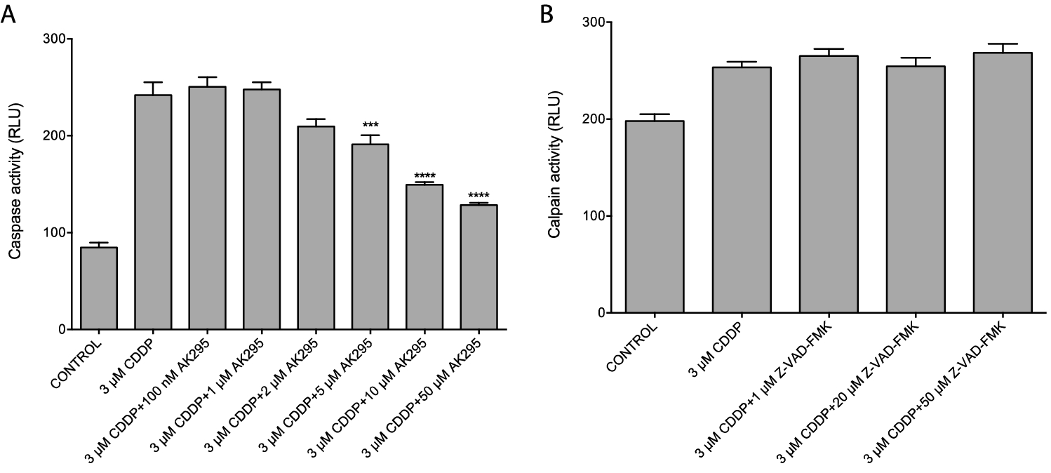
Calpain inhibitor AK295, inhibited CDDP-induced caspase 3/7 activation (A) suggesting that caspase activity is downstream of calpain activation (RLU: relative light units). In contrast, pan-caspase inhibitor Z-VAD-FMK did not have any effect on calpain activity (B) (n = 6, **p < 0.01, ****p < 0.0001, one way ANOVA with multiple comparisons, error bars denote SD).