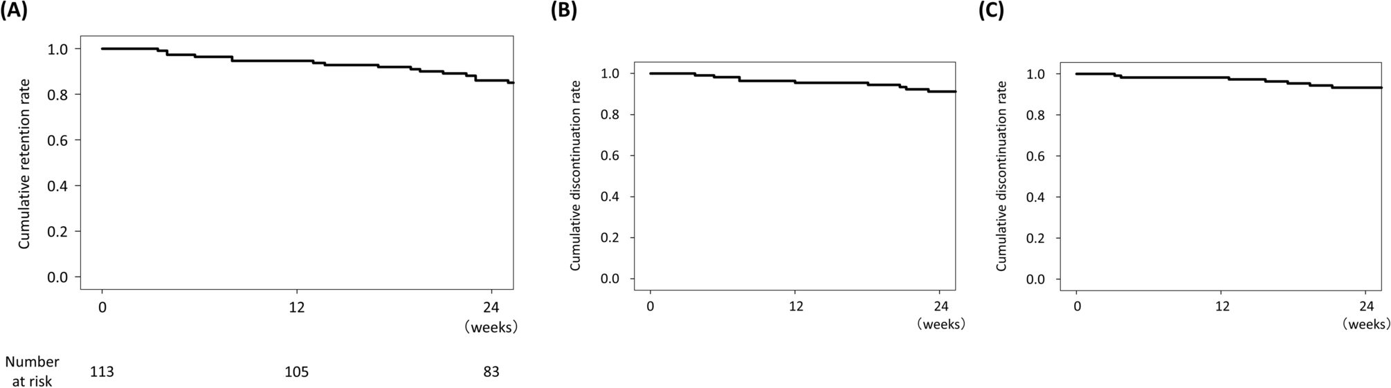
Figure 2

Kaplan–Meier curves for time to discontinuation of baricitinib. (A) Overall drug retention rate. (B) Drug retention rate with discontinuation due to inadequate response as the endpoint. (C) Drug retention rate with discontinuation due to adverse events as the endpoint.