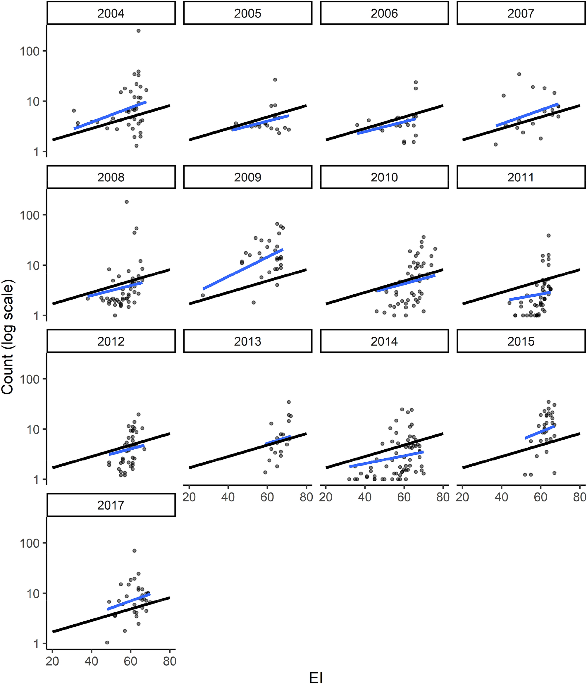
Figure 4

Observed median field abundance of adult Bemisia tabaci (species not determined) presence on a cassava plant71 as a function of modelled CLIMEX Ecoclimatic Index (EI) for Bemisia tabaci MEAM164. Black line represents slope fitted across all years and blue line represents slope fitted to individual years’ data.