Figure 5
From: Metallic ground states of undoped Ti2O3 films induced by elongated c-axis lattice constant

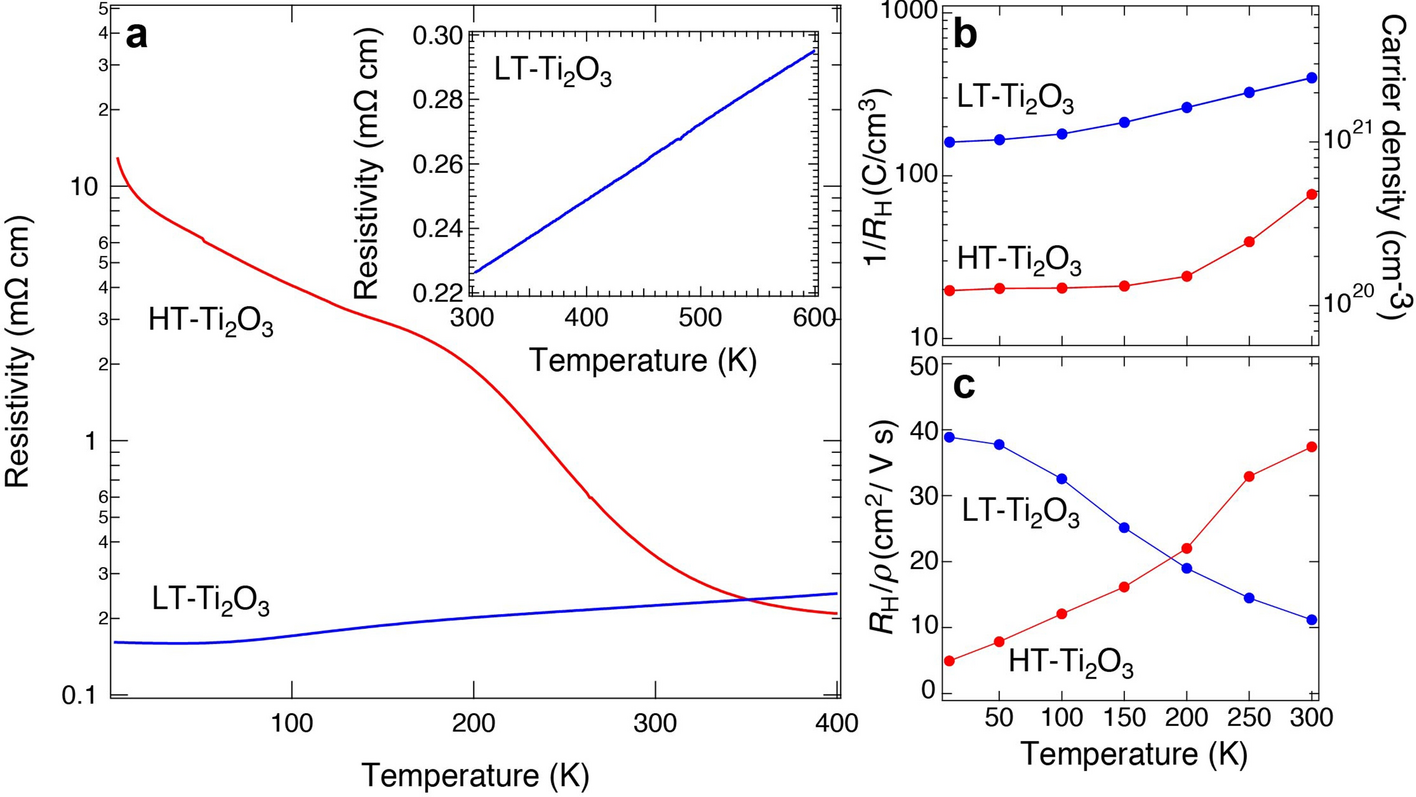
Electric properties of the Ti2O3 films. (a) Temperature dependence of resistivity for the HT- and LT-Ti2O3 films. The inset shows temperature dependence of resistivity for the LT-Ti2O3 film above RT. Temperature dependence of the (b) inverse Hall coefficient 1/RH and (c) Hall mobility RH/ρ of the HT- and LT-Ti2O3 films.