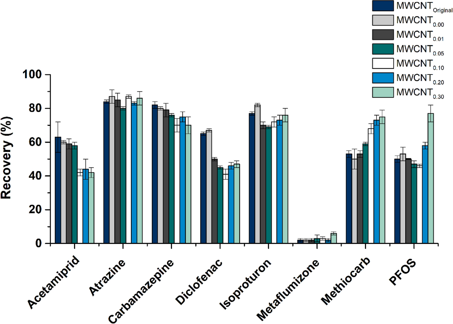
Figure 6

Recoveries obtained for the target micropollutants (200 ng L−1 each), when using cartridges packed with MWCNTs (50 mg) obtained after hydrothermal treatment with different HNO3 concentrations (0–0.30 mol L−1). Experiments performed with 500 mL of sample (SW; pH 3) and using ethanol as solvent (4 mL); n = 3 (RSD is represented as error bars).