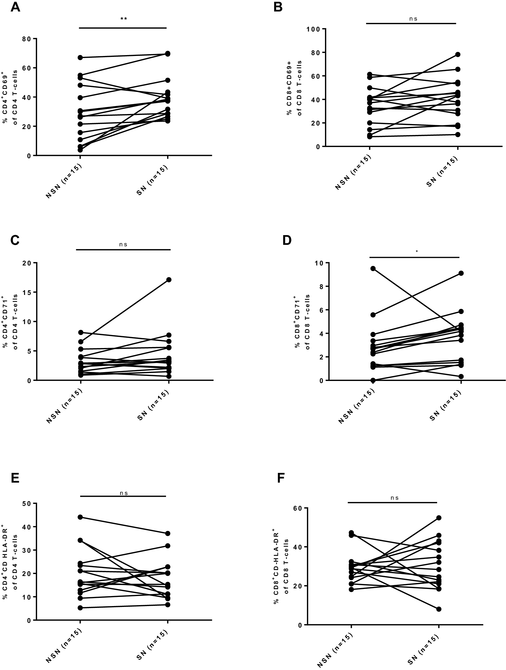
Figure 2

The percentage of activation surface antigens in non-sentinel nodes and sentinel nodes in OSCC patients. All the cases are paired and linked with a line. When more than one sentinel/non-sentinel node was obtained per patient, a mean value was calculated and included into presented analysis. (A,B,E,F) compared by paired t-test; (C,D) compared by Wilcoxon matched-pairs signed rank test. *< 0.05, **< 0.01.