Figure 6
From: Shape and rate of movement of the invasion front of Xylella fastidiosa spp. pauca in Puglia

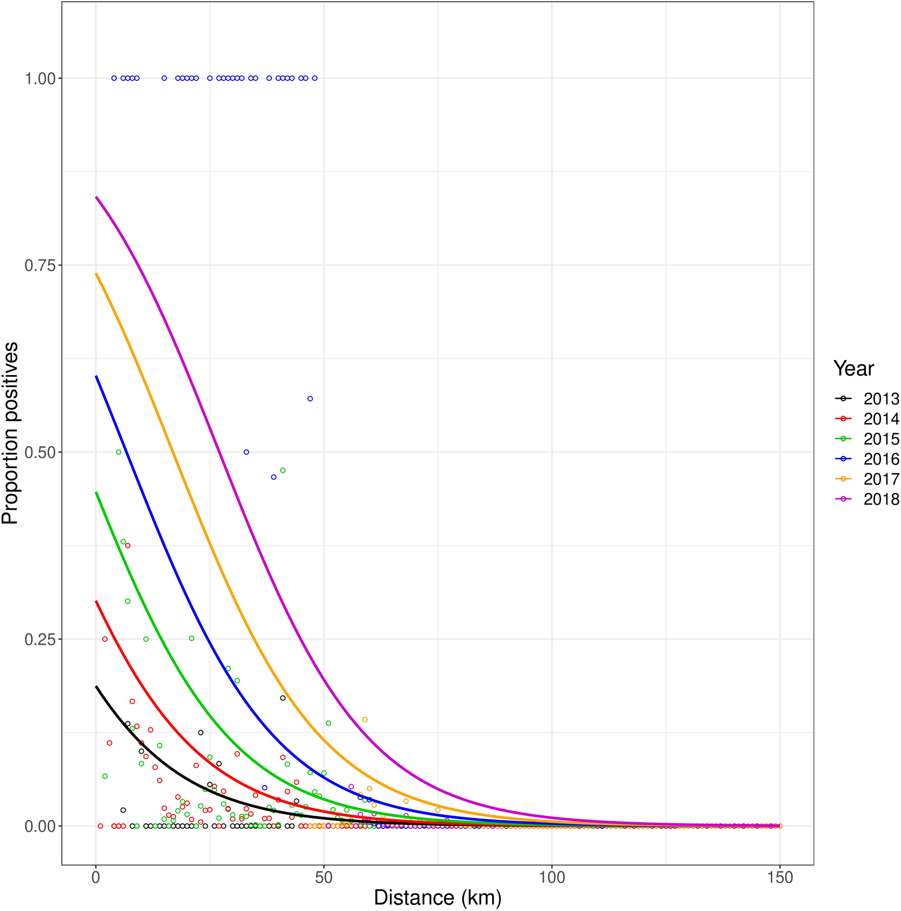
Modelled advance of the logistic front of X. fastidiosa at a yearly time step, 2013–2018. The disease front was fitted on all data using a logistic model containing a parameter for the rate of range expansion c and assuming a beta-binomial error distribution (Eq. 2).