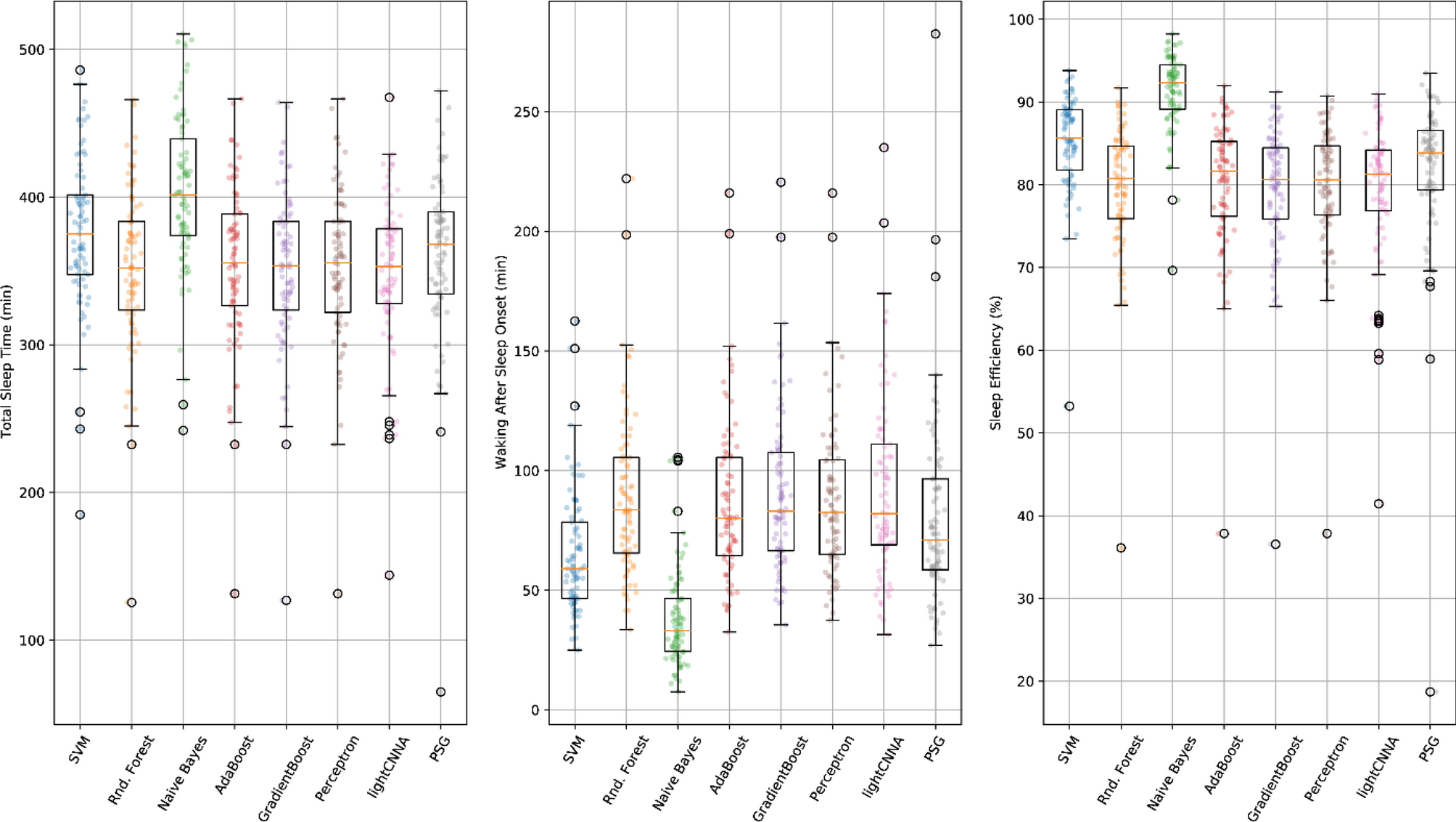
Figure 2
From: Efficient embedded sleep wake classification for open-source actigraphy

A comparison of the main sleep metrics calculated using PSG, lightCNNA and other alternative machine learning models for each subject included in the Leave One Subject Out (LOSO) validation procedure.