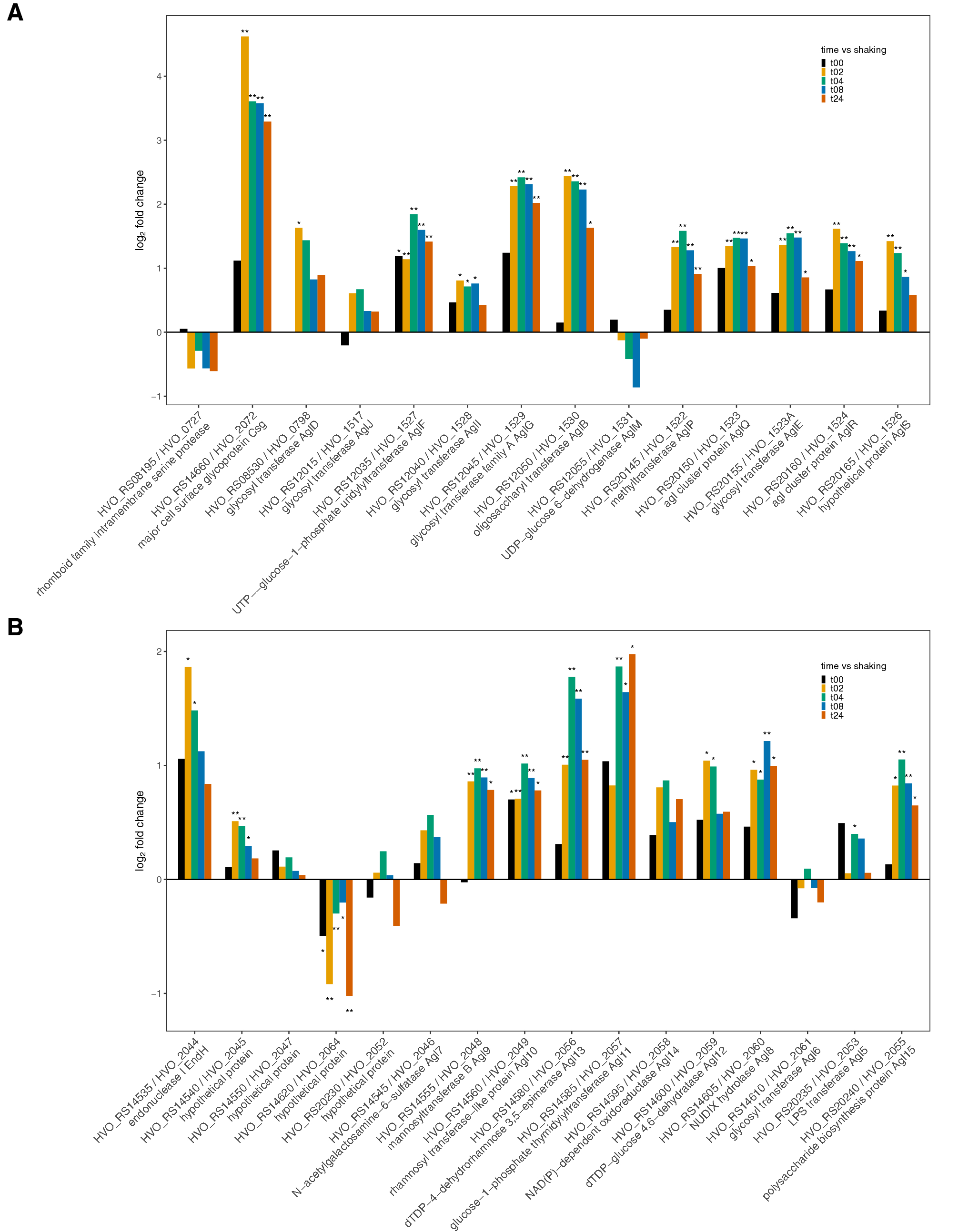
Figure 2

Bar plot depiction of differential expression compared to planktonic state for (A) glycosylation genes and (B) low-salt glycosylation genes; gene id on the x-axis and log2 fold change on the y-axis, *p value < 0.05 and **p value < 0.01. Genes directly involved in the N-glycosylation pathways are designated with their “agl” gene name and the remaining genes have a putative connection to glycosylation.