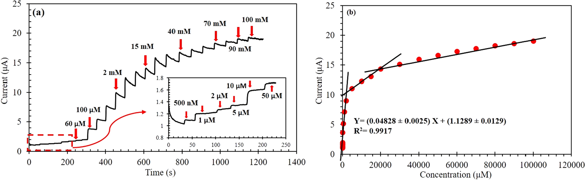
Figure 8

(a) Amperometric response of Nafion/CuO/ZnO-DSDSHNM/GCE at 0.60 V in 0.5 M NaOH solution by successive addition of glucose concentration from 500 nM to 100 mM. Inset: the magnified view of the low concentration range of glucose (500 nM–50 μM). (b) Calibration plot of the sensor responses versus the glucose concentrations.