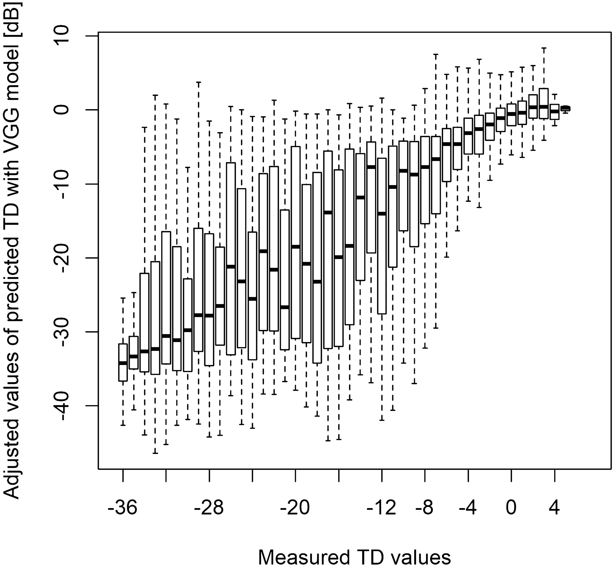
Figure 4

The relationship between the actual TD values and the predicted TD values using the VGG model adjusted with the measured TD values corresponding to the innermost four points of the HFA 24-2 test. HFA Humphrey Field Analyzer, TD total deviation.