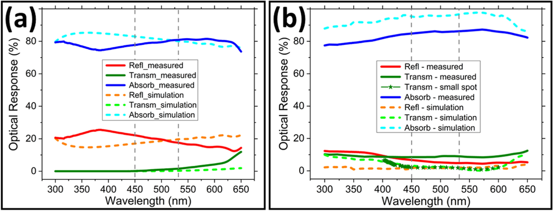
Figure 4
From: GaInP nanowire arrays for color conversion applications

The optical properties (total reflectance, transmittance, and absorbance) for GaInP structures embedded in PDMS. (a) Simulated optical response for a 1 µm-thick semi-infinite thin film layer (slab). The ‘measured’ optical response for the micro-square (MS) arrays embedded in PDMS is included. This data is corrected for a fill factor of 100%. (b) Simulated and measured optical response for the tapered nanowire (NW) arrays embedded in PDMS. Measured transmittance using a small spot set-up is also included (dark green stars).