Figure 3
From: Ecological responses to flow variation inform river dolphin conservation

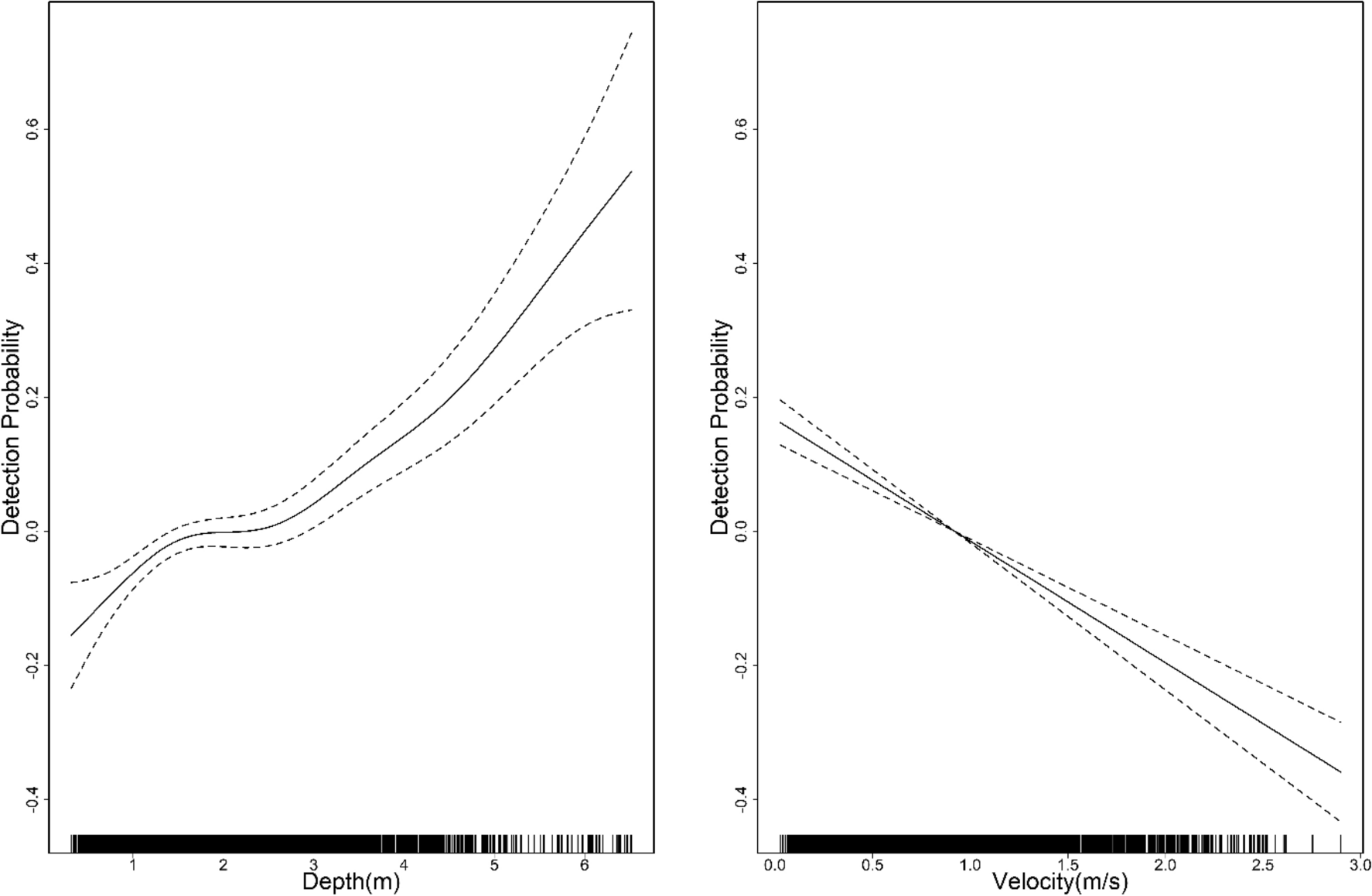
Smoothed curve of the additive effect of depth and velocity to the detection probability of Ganges River dolphins in the General Additive Models, where dotted lines represent 95% CI, and the lower axis represents single observations of depth and velocity, respectively, in the Karnali River of Nepal.