Figure 2
From: Dynamical behaviour of ultrathin [CoFeB (tCoFeB)/Pd] films with perpendicular magnetic anisotropy

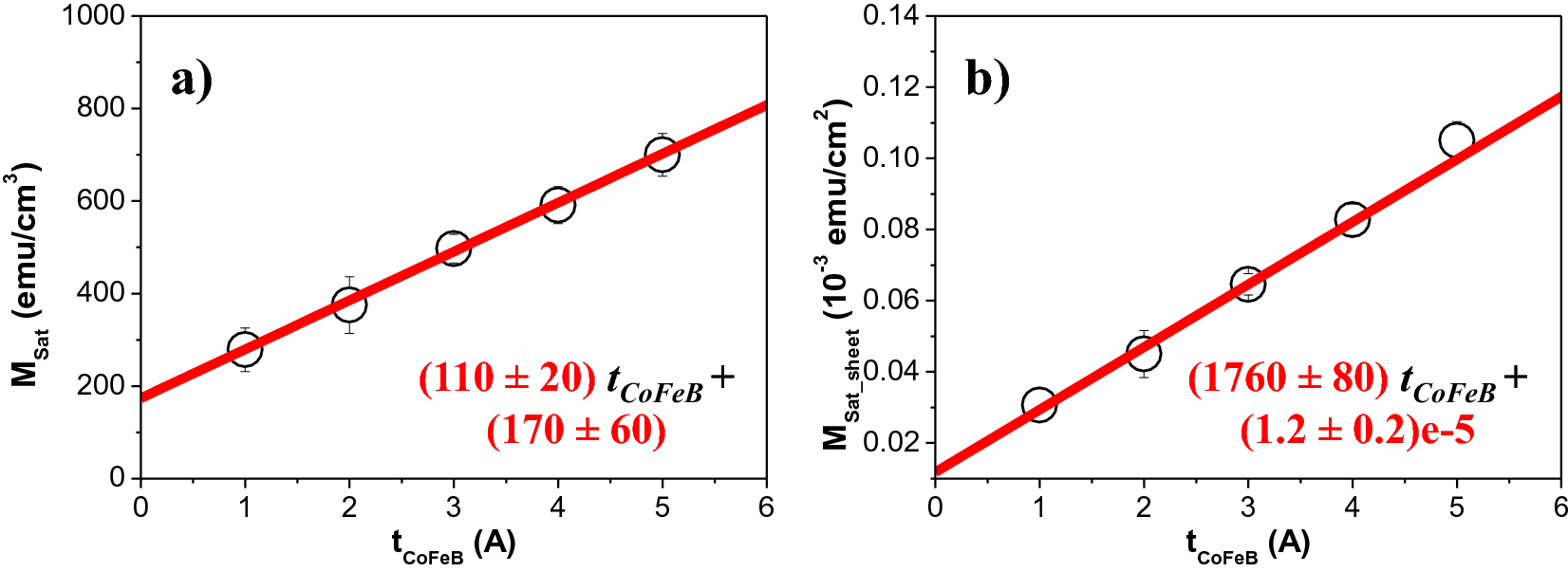
(a) Saturation magnetization, MSat as a function of the CoFeB layer thickness (tCoFeB). (b) MSat_sheet as a function of the CoFeB layer thickness (tCoFeB). The continuous red lines are linear fits.