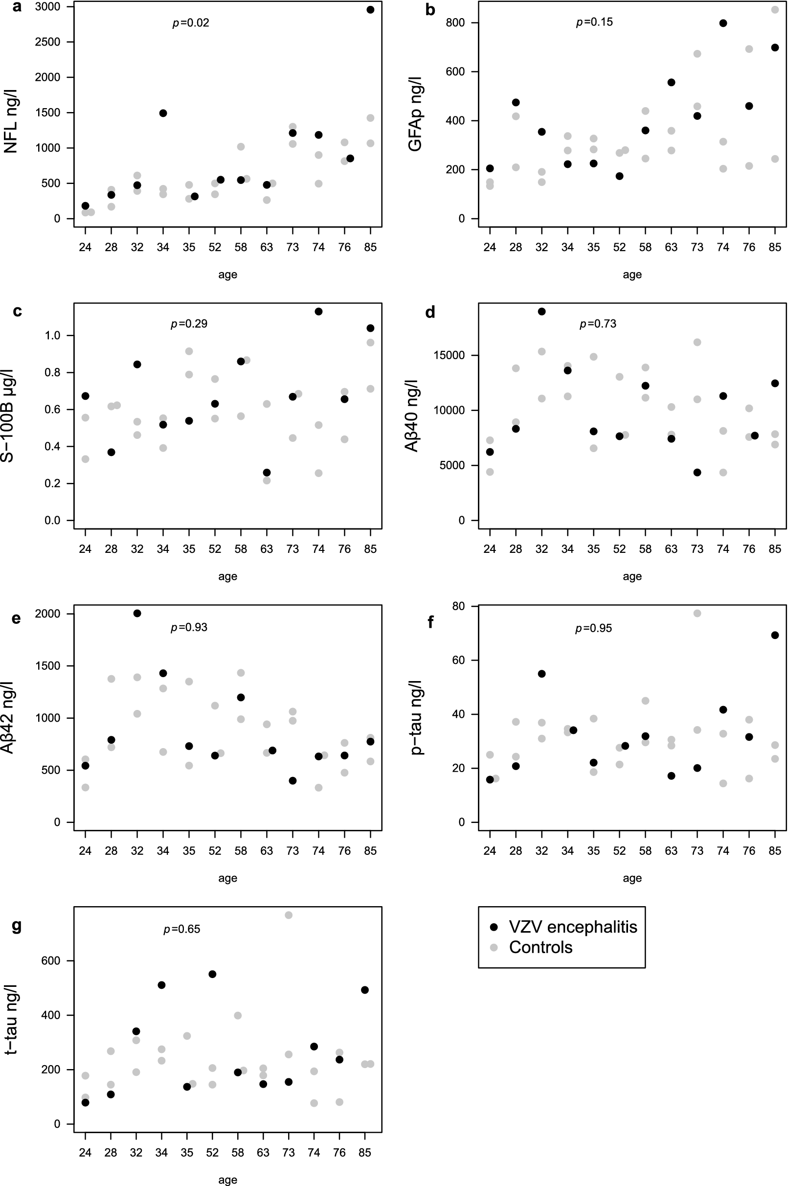
Figure 1

(a–e) Concentrations of cerebrospinal fluid biomarkers in patients with encephalitis caused by reactivated varicella-zoster virus (n = 12), 41 months (range: 19–85) after acute disease, and their controls (n = 24) (a) neurofilament light chain (NFL), (b) glial fibrillary acidic protein (GFAP), (c) S-100B, (d) amyloid-β 40 (Aβ40), (e) amyloid-β 42 (Aβ42), f) phosphorylated tau (p-tau), g) total tau (t-tau).