Figure 3
From: Simultaneous lesion and brain segmentation in multiple sclerosis using deep neural networks

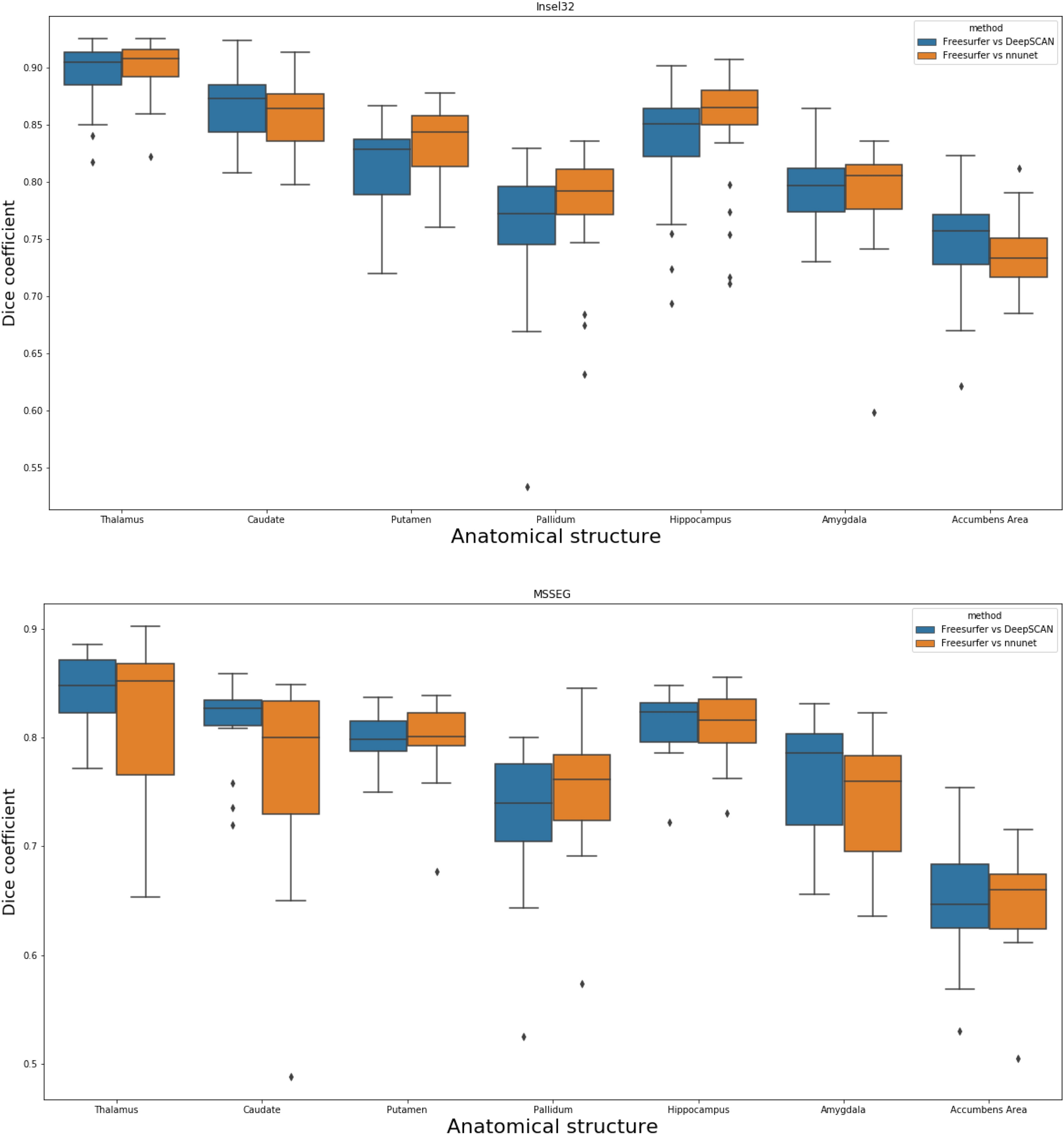
Boxplots of Dice coefficients for selected grey matter structures, for classifiers trained on the Insel90 dataset, and validated on the Insel32 (in sample) and MSSEG (out of sample) datasets.