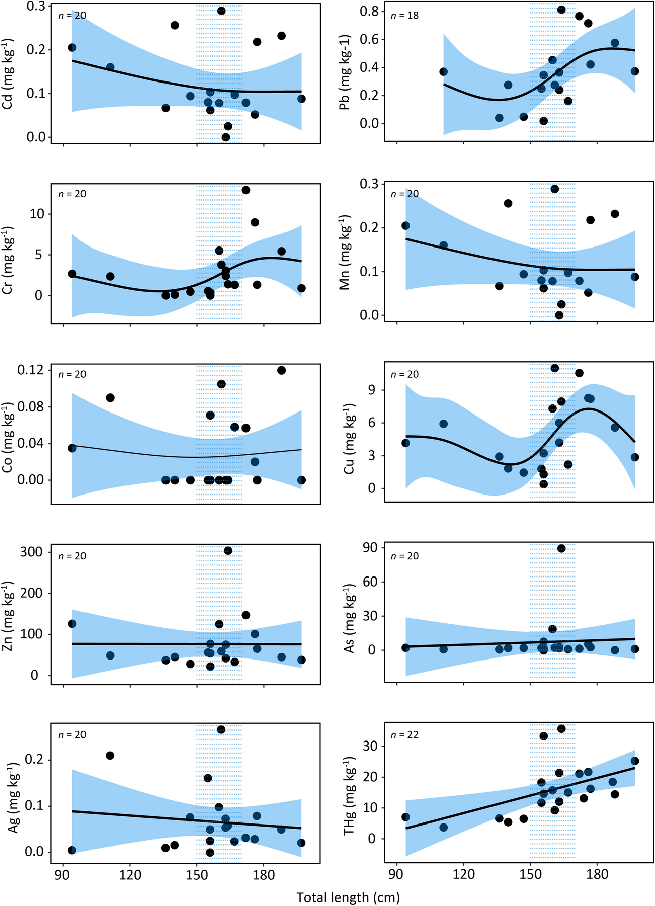
Figure 3
From: Metal concentrations in coastal sharks from The Bahamas with a focus on the Caribbean Reef shark

Generalized additive models (GAMs) fit for Caribbean Reef sharks investigating relationships between size and metal concentrations (mg kg−1, dw). Blue shaded region represents standard error and blue dotted region represents range of published size-at-maturity estimates (152–168 cm45; 150–170 cm, Pikitch et al.46). Sample sizes differ between metals owing to removal of data that were potentially contaminated.