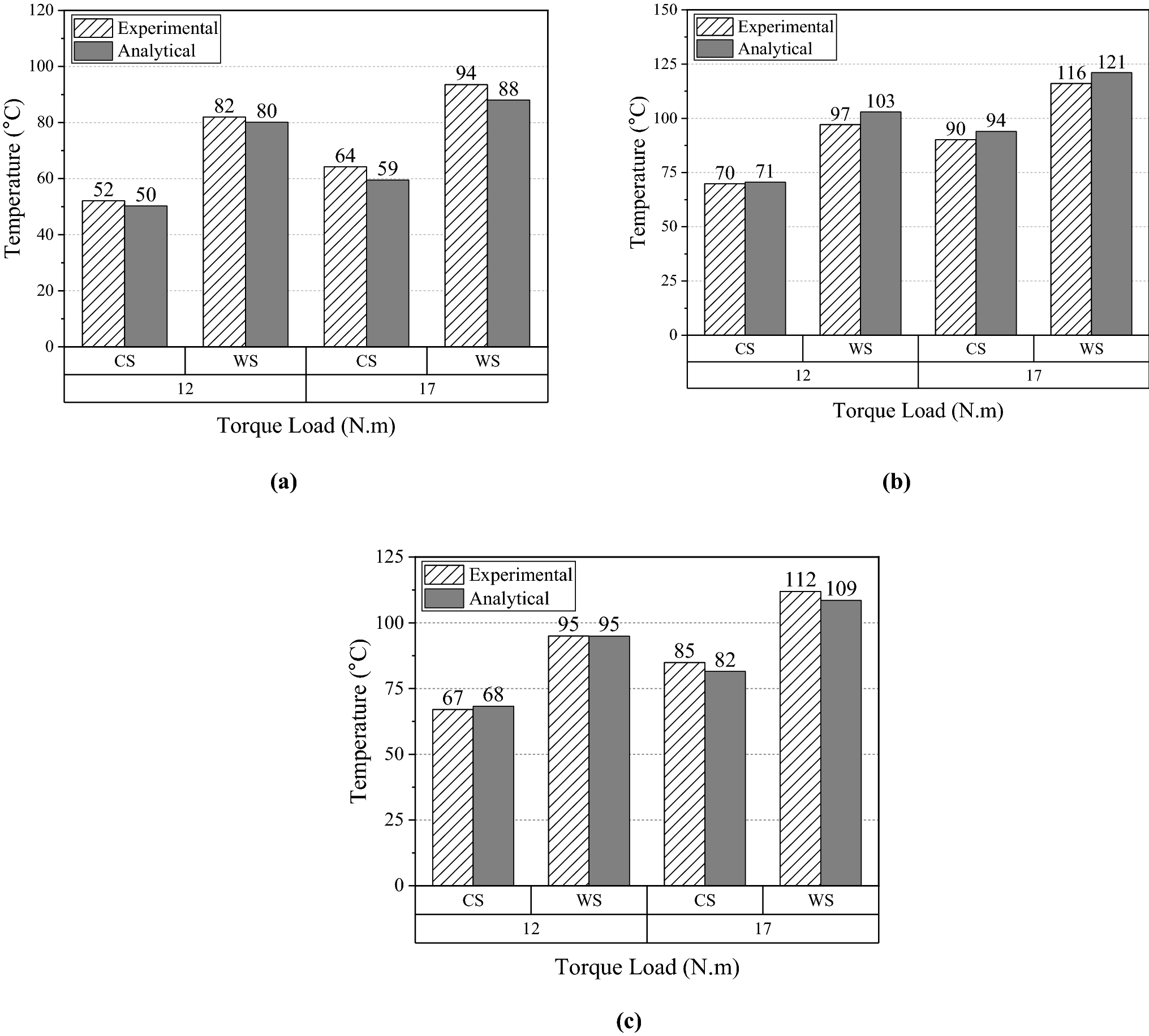
Figure 12
From: Innovative analytical model for temperature prediction of front-end accessory drive

Temperature comparisons at different locations under 1200 RPM with various loads and CS and WS operating conditions. (a) DR pulley surface at outer radii. (b) DN pulley surface at outer radii. (c) Belt surface.