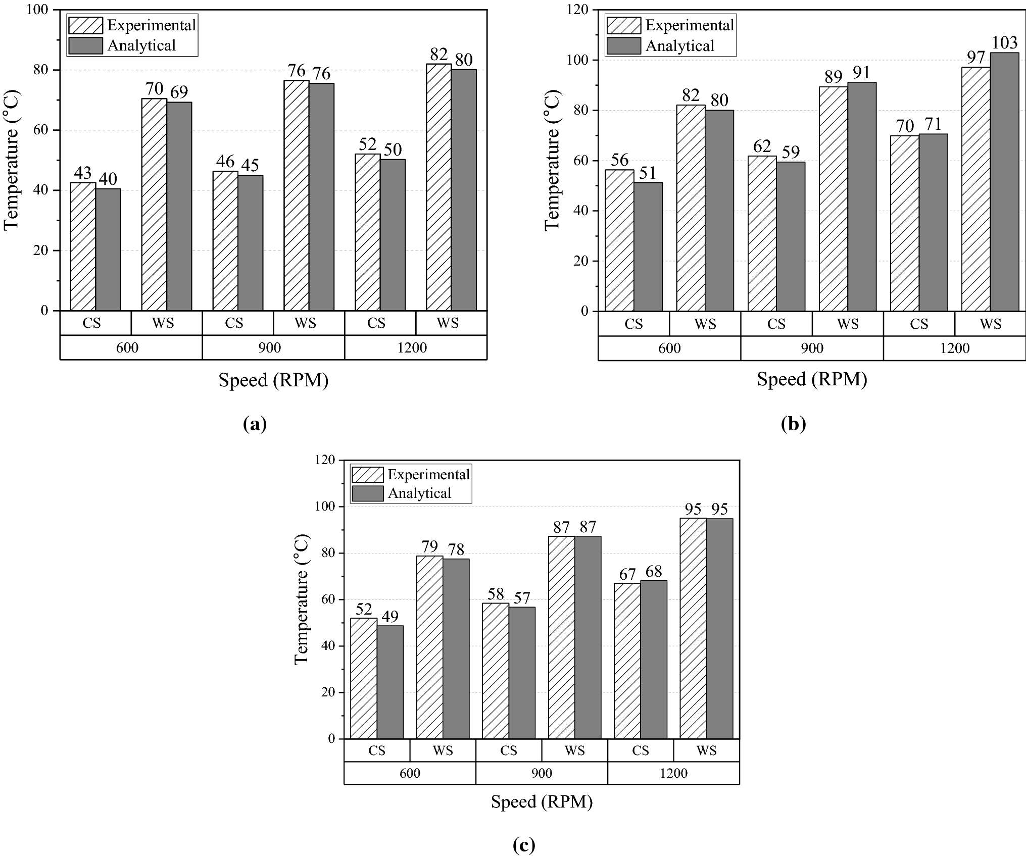
Figure 13
From: Innovative analytical model for temperature prediction of front-end accessory drive

Temperature comparisons at different locations under various speeds and CS and WS ambient conditions when a transmitted torque of 12 Nâ‹…m is applied. (a) DR pulley surface at outer radii. (b) DN pulley surface at outer radii. (c) Belt surface.